Online Database of Chemicals from Around the World

甲基丙氨酰(6)-环孢菌素A
[CAS# 111710-61-3]

供应商
CAS#: 111710-61-3
产品: 甲基丙氨酰(6)-环孢菌素A
暂时没有厂家供应该产品。
基本信息
产品名称 甲基丙氨酰(6)-环孢菌素A
英文名 Meala(6)-Cyclosporin A
别名 (3S,6S,9S,12R,15S,18S,21S,24S,30S)-30-Ethyl-33-[(E,1R,2R)-1-Hydroxy-2-Methyl-Hex-4-Enyl]-6,9,24-Triisobutyl-3,21-Diisopropyl-1,4,7,10,12,15,18,19,25,28-Decamethyl-1,4,7,10,13,16,19,22,25,28,31-Undecazacyclotritriacontane-2,5,8,11,14,17,20,23,26,29,32-Undecone; (3S,6S,9S,12R,15S,18S,21S,24S,30S)-30-Ethyl-33-[(E,1R,2R)-1-Hydroxy-2-Methylhex-4-Enyl]-6,9,24-Triisobutyl-3,21-Diisopropyl-1,4,7,10,12,15,18,19,25,28-Decamethyl-1,4,7,10,13,16,19,22,25,28,31-Undecazacyclotritriacontane-2,5,8,11,14,17,20,23,26,29,32-Undecone; (3S,6S,9S,12R,15S,18S,21S,24S,30S)-30-Ethyl-33-[(E,1R,2R)-1-Hydroxy-2-Methyl-Hex-4-Enyl]-1,4,7,10,12,15,18,19,25,28-Decamethyl-6,9,24-Tris(2-Methylpropyl)-3,21-Di(Propan-2-Yl)-1,4,7,10,13,16,19,22,25,28,31-Undecazacyclotritriacontane-2,5,8,11,14,17,20,23,26,29,32-Undecone
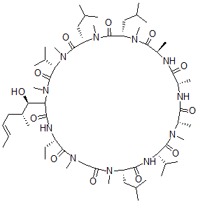
分子结构 CAS 登录号:111710-61-3, 甲基丙氨酰(6)-环孢菌素A
分子式 C59H105N11O12
分子量 1160.55
CAS 登录号 111710-61-3
分子行输入简码 SMILES [C@H]1(N(C(=O)[C@@H](N(C(=O)[C@@H](N(C(=O)[C@H](NC(=O)[C@@H](NC(=O)[C@@H](N(C(=O)[C@@H](NC(=O)[C@@H](N(C(=O)CN(C(=O)[C@@H](NC(=O)C(N(C1=O)C)[C@H](O)[C@@H](C\C=C\C)C)CC)C)C)CC(C)C)C(C)C)C)C)C)C)C)CC(C)C)C)CC(C)C)C)C(C)C
国际化学标识码 InChI 1S/C59H105N11O12/c1-24-26-27-37(13)49(72)48-53(76)62-41(25-2)55(78)64(17)31-45(71)66(19)42(28-32(3)4)52(75)63-46(35(9)10)58(81)65(18)40(16)51(74)60-38(14)50(73)61-39(15)54(77)67(20)43(29-33(5)6)56(79)68(21)44(30-34(7)8)57(80)69(22)47(36(11)12)59(82)70(48)23/h24,26,32-44,46-49,72H,25,27-31H2,1-23H3,(H,60,74)(H,61,73)(H,62,76)(H,63,75)/b26-24+/t37-,38+,39-,40+,41+,42+,43+,44+,46+,47+,48?,49-/m1/s1
国际化学标识检索码 InChIKey GBIWPCXWDSDANU-JYFGSSRXSA-N
市场分析报告
请浏览甲基丙氨酰(6)-环孢菌素A市场分析报告总目录
相关产品
5-乙氧基-1-(4-硝基苯基)磺酰基-吡咯烷-2...  5-(2-氨基六氟丙-2-基)-2'-脱氧尿苷  5-(2-三氟乙酰基氨基六氟丙-2-基)-2'-脱...  N,N'-二甲基丁-2-烯-1,4-二胺  甲基6-O-乙酰基-3-O-苯甲酰基-4-O-(2...  4-((5-甲基-2-氧代-1,3-二氧杂环戊烯-...  4-(4-氟苯基)硫代甲基-5-甲基-1,3-二氧...  4-乙氧基丁烷-1-醇  (3E,5E)-3,6,10-三甲基十一碳-3,5...  5-乙酰氨基-3,4-哌啶二醇  2-[[3-(4-甲氧基苯基)-2-甲基-亚丙基]...  沙替格雷  N-(2-吡啶酮-6-基)-N',N'-二-N-丙...  蔗糖八硫酸酯钾盐  3,7-二甲基辛烷-1-醇