Online Database of Chemicals from Around the World

2-羟基戊二酰-1-辅酶A
[CAS# 111769-66-5]

供应商
CAS#: 111769-66-5
产品: 2-羟基戊二酰-1-辅酶A
暂时没有厂家供应该产品。
基本信息
产品名称 2-羟基戊二酰-1-辅酶A
英文名 2-Hydroxyglutaryl-1-Coenzyme A
别名 (4R)-5-[2-[3-[[(2R)-4-[[[(2R,3S,4R,5R)-5-(6-Aminopurin-9-Yl)-4-Hydroxy-3-Phosphonooxy-Tetrahydrofuran-2-Yl]Methoxy-Hydroxy-Phosphoryl]Oxy-Hydroxy-Phosphoryl]Oxy-2-Hydroxy-3,3-Dimethyl-Butanoyl]Amino]Propanoylamino]Ethylsulfanyl]-4-Hydroxy-5-Oxo-Pentanoic Acid; (4R)-5-[2-[[3-[[(2R)-4-[[[(2R,3S,4R,5R)-5-(6-Amino-9-Purinyl)-4-Hydroxy-3-Phosphonooxy-2-Tetrahydrofuranyl]Methoxy-Hydroxyphosphoryl]Oxy-Hydroxyphosphoryl]Oxy-2-Hydroxy-3,3-Dimethyl-1-Oxobutyl]Amino]-1-Oxopropyl]Amino]Ethylthio]-4-Hydroxy-5-Oxopentanoic Acid; (4R)-5-[2-[3-[[(2R)-4-[[[(2R,3S,4R,5R)-5-(6-Aminopurin-9-Yl)-4-Hydroxy-3-Phosphonooxy-Tetrahydrofuran-2-Yl]Methoxy-Hydroxy-Phosphoryl]Oxy-Hydroxy-Phosphoryl]Oxy-2-Hydroxy-3,3-Dimethyl-Butanoyl]Amino]Propanoylamino]Ethylthio]-4-Hydroxy-5-Keto-Valeric Acid
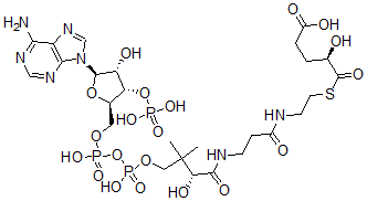
分子结构 CAS 登录号:111769-66-5, 2-羟基戊二酰-1-辅酶A
分子式 C26H42N7O20P3S
分子量 897.63
CAS 登录号 111769-66-5
分子行输入简码 SMILES [C@H]1(O[C@@H]([C@@H](O[P](=O)(O)O)[C@H]1O)CO[P](O[P](OCC([C@@H](O)C(=O)NCCC(=O)NCCSC(=O)[C@H](O)CCC(=O)O)(C)C)(=O)O)(=O)O)[N]2C3=C(N=C2)C(=NC=N3)N
国际化学标识码 InChI 1S/C26H42N7O20P3S/c1-26(2,20(39)23(40)29-6-5-15(35)28-7-8-57-25(41)13(34)3-4-16(36)37)10-50-56(47,48)53-55(45,46)49-9-14-19(52-54(42,43)44)18(38)24(51-14)33-12-32-17-21(27)30-11-31-22(17)33/h11-14,18-20,24,34,38-39H,3-10H2,1-2H3,(H,28,35)(H,29,40)(H,36,37)(H,45,46)(H,47,48)(H2,27,30,31)(H2,42,43,44)/t13-,14-,18-,19-,20+,24-/m1/s1
国际化学标识检索码 InChIKey ITRSBJZNLOYNNR-WZZMXTMRSA-N
物理化学性质
密度 1.927g/cm3 (计算值)
市场分析报告
请浏览2-羟基戊二酰-1-辅酶A市场分析报告总目录
相关产品
N(4)-腺苷-N(4)-甲基-2,4-二氨基丁酸  N-丁基-N-甲基甲酰胺  3-氯辛烷  普啉索旦  1-((5-溴-2-苯并呋喃基)苯基甲基)-1H-...  生物素基酰胺基乙基-3-(3-碘-4-羟基苯基)丙...  生物素基酰胺基乙基-3-(3,5-二碘-4-羟基苯...  3-[[3-[4-[2-(环丙基甲氧基)乙基]苯氧...  4-氨基-1-(2-叠氮基-3-羟基-4-(羟基甲...  1-(2-氨基-3-羟基-4-(羟基甲基)环戊基)...  重氮基乙烷  (NE)-N-(2,2,2-三氯乙亚基)羟胺  1-甲氧基-2,2-二甲基丙烷  异氰酸-三甲基硅烷  11,17,21-三羟基-3,20-二氧代孕甾烷-...