|
CAS#: 112468-35-6 Product: (3beta,16alpha,20beta)-3-((O-6-Deoxy-alpha-L-Mannopyranosyl-(1-2)-O-beta-D-Glucopyranosyl-(1-2)-O-(beta-D-Glucopyranosyl-(1-3))-beta-D-Glucopyranosyl)Oxy)-13,28-Epoxy-16-Hydroxyoleanan-29-Al No suppilers available for the product. |
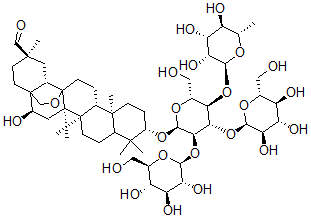
| Name | (3beta,16alpha,20beta)-3-((O-6-Deoxy-alpha-L-Mannopyranosyl-(1-2)-O-beta-D-Glucopyranosyl-(1-2)-O-(beta-D-Glucopyranosyl-(1-3))-beta-D-Glucopyranosyl)Oxy)-13,28-Epoxy-16-Hydroxyoleanan-29-Al |
|---|---|
| Synonyms | 3-((O-6-Decoxy-Alpha-L-Mannopyranosyl-(1-2)-O-Beta-D-Glucopyranosyl-(1-2)-O-(Beta-D-Glucopyranosyl-(1-3))-Beta-D-Glucopyranosyl)Oxy)-13,28-Epoxy-16-Hydroxyoleanan-29-Al (3Beta,16Alpha,20Beta)-; Oleanan-29-Al, 3-((O-6-Decoxy-Alpha-L-Mannopyranosyl-(1-2)-O-Beta-D-Glucopyranosyl-(1-2)-O-(Beta-D-Glucopyranosyl-(1-3))-Beta-D-Glucopyranosyl)Oxy)-13,28-Epoxy-16-Hydroxy-, (3Beta,16Alpha,20Beta)- |
| Molecular Structure | ![]() |
| Molecular Formula | C54H88O23 |
| Molecular Weight | 1105.28 |
| CAS Registry Number | 112468-35-6 |
| SMILES | [C@@]34(C1(OCC2([C@@H]1C[C@@](CC2)(C=O)C)[C@H](O)C3)CC[C@H]5[C@]4(CCC%10[C@@]5(CC[C@H](O[C@H]8O[C@@H]([C@@H](O[C@@H]6O[C@H]([C@H](O)[C@@H](O)[C@H]6O)C)[C@H](O[C@H]7O[C@@H]([C@@H](O)[C@H](O)[C@H]7O)CO)[C@H]8O[C@@H]9O[C@@H]([C@@H](O)[C@H](O)[C@H]9O)CO)CO)C%10(C)C)C)C)C |
| InChI | 1S/C54H88O23/c1-23-32(60)35(63)38(66)44(70-23)75-41-26(20-57)73-47(43(77-46-40(68)37(65)34(62)25(19-56)72-46)42(41)76-45-39(67)36(64)33(61)24(18-55)71-45)74-31-10-11-50(5)27(48(31,2)3)8-12-51(6)28(50)9-13-54-29-16-49(4,21-58)14-15-53(29,22-69-54)30(59)17-52(51,54)7/h21,23-47,55-57,59-68H,8-20,22H2,1-7H3/t23-,24+,25+,26+,27?,28+,29-,30+,31-,32-,33+,34+,35+,36-,37-,38+,39+,40+,41+,42-,43+,44-,45+,46-,47+,49+,50-,51+,52-,53?,54?/m0/s1 |
| InChIKey | IFUZRXARAGLJFJ-GTLZPBAUSA-N |
| Density | 1.481g/cm3 (Cal.) |
|---|---|