Online Database of Chemicals from Around the World

Trichorzianine B
[CAS# 112959-01-0]

Suppliers
CAS#: 112959-01-0
Product: Trichorzianine B
No suppilers available for the product.
Identification
Name Trichorzianine B
Synonyms (S)-2-De-L-Proline-3-L-Alanine-6-(2-Methylalanine)-9-(2-Methylalanine)-11-L-Serine-17-L-Isoleucine-18-L-Glutamine-19-(N-(2-Hydroxy-1-(1H-Indol-3-Ylmethyl)Ethyl)-L-Alpha-Glutamine)Alamethian I; Alamethian I, 2-De-L-Proline-3-L-Alanine-6-(2-Methylalanine)-9-(2-Methylalanine)-11-L-Serine-17-L-Isoleucine-18-L-Glutamine-19-(N-(2-Hydroxy-1-(1H-Indol-3-Ylmethyl)Ethyl)-L-Alpha-Glutamine)-, (S)-
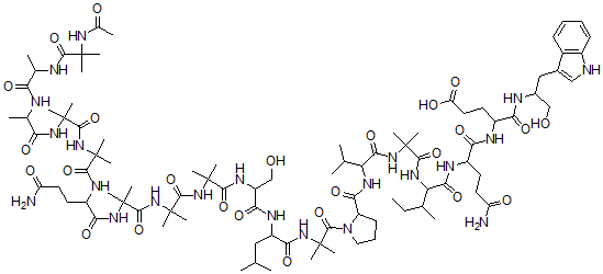
Molecular Structure CAS#: 112959-01-0, Trichorzianine B
Molecular Formula C91H148N22O25
Molecular Weight 1950.30
CAS Registry Number 112959-01-0
SMILES C1=CC=CC2=C1[NH]C=C2CC(NC(=O)C(NC(=O)C(CCC(N)=O)NC(C(NC(C(NC(C(NC(C3CCCN3C(=O)C(C)(C)NC(C(NC(=O)C(CO)NC(C(NC(C(NC(C(NC(=O)C(CCC(=O)N)NC(C(NC(=O)C(C)(C)NC(C(C)NC(C(C)NC(C(NC(C)=O)(C)C)=O)=O)=O)(C)C)=O)(C)C)=O)(C)C)=O)(C)C)=O)CC(C)C)=O)=O)C(C)C)=O)(C)C)=O)C(CC)C)=O)CCC(O)=O)CO
InChI 1S/C91H148N22O25/c1-26-47(6)65(74(129)99-55(33-36-61(92)117)69(124)98-56(35-38-63(119)120)68(123)97-52(43-114)41-51-42-94-54-31-28-27-30-53(51)54)104-79(134)85(12,13)109-75(130)64(46(4)5)103-73(128)60-32-29-39-113(60)83(138)91(24,25)108-72(127)58(40-45(2)3)100-70(125)59(44-115)102-78(133)87(16,17)111-82(137)90(22,23)112-81(136)89(20,21)107-71(126)57(34-37-62(93)118)101-77(132)86(14,15)110-80(135)88(18,19)106-67(122)49(8)95-66(121)48(7)96-76(131)84(10,11)105-50(9)116/h27-28,30-31,42,45-49,52,55-60,64-65,94,114-115H,26,29,32-41,43-44H2,1-25H3,(H2,92,117)(H2,93,118)(H,95,121)(H,96,131)(H,97,123)(H,98,124)(H,99,129)(H,100,125)(H,101,132)(H,102,133)(H,103,128)(H,104,134)(H,105,116)(H,106,122)(H,107,126)(H,108,127)(H,109,130)(H,110,135)(H,111,137)(H,112,136)(H,119,120)
InChIKey MTJOXVIDHVPJAI-UHFFFAOYSA-N
Market Analysis Reports
List of Reports Available for Trichorzianine B
Related Products
Butan-2-One Phenylhydrazone  Velnacrine maleate  1-Phenyl-1-Hexyne  (Z)-7-[(1R,4S,5S,6S)-5-(Phenylsulfonylam...  Cyclohexylpropyl Formate  Homozimelidine  1,1-Dicyclohexyl-2-Piperidin-1-Ylethanol  1-(3-Bromopropoxy)-4-Fluorobenzene  1-[2-[2-[2-(2-Butoxyethoxy)Ethoxy]Ethoxy...  [2-Ethoxy-3-(Hexadecanoylamino)Propyl] 2...  [2-Ethoxy-3-(Octadecanoylamino)Propyl] 2...  cis-Cyclododecene  Cyclododecyne  8-Hydroxyquinolinium Hydrogen Sulphate  Norephedrine Sulfate