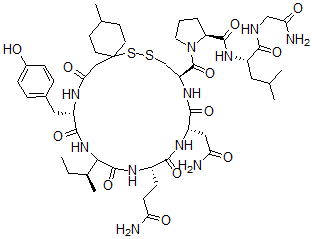
Identification
| Name |
1'-(1'-Thio-4'-Methylcyclohexane)Acetic Acid-Oxytocin |
| Synonyms |
(2S)-1-[(10R,13S,16S,22S)-13-(2-Amino-2-Oxo-Ethyl)-16-(3-Amino-3-Oxo-Propyl)-22-[(4-Hydroxyphenyl)Methyl]-3-Methyl-12,15,18,21,24-Pentaoxo-19-Sec-Butyl-7,8-Dithia-11,14,17,20,23-Pentazaspiro[5.19]Pentacosane-10-Carbonyl]-N-[(1S)-1-[(2-Amino-2-Oxo-Ethyl)Carbamoyl]-3-Methyl-Butyl]Pyrrolidine-2-Carboxamide; (2S)-N-[(1S)-1-[[(2-Amino-2-Oxoethyl)Amino]-Oxomethyl]-3-Methylbutyl]-1-[[(10R,13S,16S,22S)-13-(2-Amino-2-Oxoethyl)-16-(3-Amino-3-Oxopropyl)-22-[(4-Hydroxyphenyl)Methyl]-3-Methyl-12,15,18,21,24-Pentaoxo-19-Sec-Butyl-7,8-Dithia-11,14,17,20,23-Pentazaspiro[5.19]Pentacosan-10-Yl]-Oxomethyl]-2-Pyrrolidinecarboxamide; (2S)-1-[(10R,13S,16S,22S)-13-(2-Amino-2-Keto-Ethyl)-16-(3-Amino-3-Keto-Propyl)-22-(4-Hydroxybenzyl)-12,15,18,21,24-Pentaketo-3-Methyl-19-Sec-Butyl-7,8-Dithia-11,14,17,20,23-Pentazaspiro[5.19]Pentacosane-10-Carbonyl]-N-[(1S)-1-[(2-Amino-2-Keto-Ethyl)Carbamoyl]-3-Methyl-Butyl]Pyrrolidine-2-Carboxamide |
|
| Molecular Structure |
 |
| Molecular Formula |
C49H75N11O12S2 |
| Molecular Weight |
1074.32 |
| CAS Registry Number |
113789-43-8 |
| SMILES |
[C@@H]1(NC(=O)[C@@H](NC(=O)[C@@H](NC(=O)C(NC(=O)[C@@H](NC(=O)CC2(SSC1)CCC(CC2)C)CC3=CC=C(O)C=C3)[C@H](CC)C)CCC(=O)N)CC(=O)N)C(=O)N4[C@H](C(=O)N[C@H](C(=O)NCC(=O)N)CC(C)C)CCC4 |
| InChI |
1S/C49H75N11O12S2/c1-6-28(5)41-47(71)55-31(13-14-37(50)62)43(67)56-34(22-38(51)63)44(68)58-35(48(72)60-19-7-8-36(60)46(70)57-32(20-26(2)3)42(66)53-24-39(52)64)25-73-74-49(17-15-27(4)16-18-49)23-40(65)54-33(45(69)59-41)21-29-9-11-30(61)12-10-29/h9-12,26-28,31-36,41,61H,6-8,13-25H2,1-5H3,(H2,50,62)(H2,51,63)(H2,52,64)(H,53,66)(H,54,65)(H,55,71)(H,56,67)(H,57,70)(H,58,68)(H,59,69)/t27?,28-,31-,32-,33-,34-,35-,36-,41?,49?/m0/s1 |
| InChIKey |
QGWBGSISQDGWFE-UJFKYAOLSA-N |
|