Online Database of Chemicals from Around the World

乙酰基二硫代-辅酶A
[CAS# 113947-51-6]

供应商
CAS#: 113947-51-6
产品: 乙酰基二硫代-辅酶A
暂时没有厂家供应该产品。
基本信息
产品名称 乙酰基二硫代-辅酶A
英文名 Acetyldithio-Coenzyme A
别名 2-[3-[[(2R)-4-[[[(2R,3S,4R,5R)-5-(6-Aminopurin-9-Yl)-4-Hydroxy-3-Phosphonooxy-Tetrahydrofuran-2-Yl]Methoxy-Hydroxy-Phosphoryl]Oxy-Hydroxy-Phosphoryl]Oxy-2-Hydroxy-3,3-Dimethyl-Butanoyl]Amino]Propanoylamino]Ethyl Ethanedithioate; Ethanedithioic Acid 2-[[3-[[(2R)-4-[[[(2R,3S,4R,5R)-5-(6-Amino-9-Purinyl)-4-Hydroxy-3-Phosphonooxy-2-Tetrahydrofuranyl]Methoxy-Hydroxyphosphoryl]Oxy-Hydroxyphosphoryl]Oxy-2-Hydroxy-3,3-Dimethyl-1-Oxobutyl]Amino]-1-Oxopropyl]Amino]Ethyl Ester; Ethanedithioic Acid 2-[3-[[(2R)-4-[[[(2R,3S,4R,5R)-5-(6-Aminopurin-9-Yl)-4-Hydroxy-3-Phosphonooxy-Tetrahydrofuran-2-Yl]Methoxy-Hydroxy-Phosphoryl]Oxy-Hydroxy-Phosphoryl]Oxy-2-Hydroxy-3,3-Dimethyl-Butanoyl]Amino]Propanoylamino]Ethyl Ester
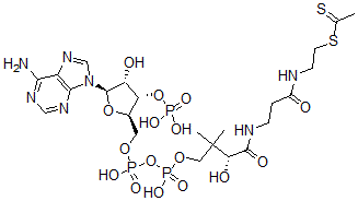
分子结构 CAS 登录号:113947-51-6, 乙酰基二硫代-辅酶A
分子式 C23H38N7O16P3S2
分子量 825.63
CAS 登录号 113947-51-6
分子行输入简码 SMILES [C@H]1(O[C@@H]([C@@H](O[P](=O)(O)O)[C@H]1O)CO[P](O[P](OCC([C@@H](O)C(=O)NCCC(=O)NCCSC(=S)C)(C)C)(=O)O)(=O)O)[N]2C3=C(N=C2)C(=NC=N3)N
国际化学标识码 InChI 1S/C23H38N7O16P3S2/c1-12(50)51-7-6-25-14(31)4-5-26-21(34)18(33)23(2,3)9-43-49(40,41)46-48(38,39)42-8-13-17(45-47(35,36)37)16(32)22(44-13)30-11-29-15-19(24)27-10-28-20(15)30/h10-11,13,16-18,22,32-33H,4-9H2,1-3H3,(H,25,31)(H,26,34)(H,38,39)(H,40,41)(H2,24,27,28)(H2,35,36,37)/t13-,16-,17-,18+,22-/m1/s1
国际化学标识检索码 InChIKey ILDXFYGFXOQPHK-ZSJPKINUSA-N
物理化学性质
密度 1.89g/cm3 (计算值)
市场分析报告
请浏览乙酰基二硫代-辅酶A市场分析报告总目录
相关产品
西巴西坦  2,6-二甲基二苯甲酮  葡甲胺环腺苷酸  4-甲基-N-(4-((4-硝基苯基)氨基)苯基)...  4-甲基色氨酸  N-(3-碘-吡啶-4-基)-2,2-二甲基-丙酰...  2,3-二溴丙烯醛O-甲基肟  N,O-二(烯丙基二甲基硅烷基)-2,2,2-三氟...  1,1,1,2,2,3,3,4,4,5,5,6,6...  11-(乙硫基)十一烷酸  5-十二烷基二硫基-2-硝基-苯甲酸  4-(2-硝基苯基)苯胺  1-O-十八烷基-2-O-甲基甘油-3-吡喃葡萄糖...  右培美酸  3-O-吡喃鼠李糖基-4-O-吡喃葡萄糖基-吡喃半...