基本信息
| 产品名称 |
2''-(腺苷-5'-磷酰)妥布霉素 |
| 英文名 |
2''-(Adenosine-5'-Phosphoryl)Tobramycin |
| 别名 |
[4-Amino-2-[4,6-Diamino-3-[3-Amino-6-(Aminomethyl)-5-Hydroxy-Tetrahydropyran-2-Yl]Oxy-2-Hydroxy-Cyclohexoxy]-5-Hydroxy-6-(Hydroxymethyl)Tetrahydropyran-3-Yl] [5-(6-Aminopurin-9-Yl)-3,4-Dihydroxy-Tetrahydrofuran-2-Yl]Methyl Hydrogen Phosphate; [4-Amino-2-[4,6-Diamino-3-[[3-Amino-6-(Aminomethyl)-5-Hydroxy-2-Tetrahydropyranyl]Oxy]-2-Hydroxycyclohexoxy]-5-Hydroxy-6-(Hydroxymethyl)-3-Tetrahydropyranyl] [5-(6-Amino-9-Purinyl)-3,4-Dihydroxy-2-Tetrahydrofuranyl]Methyl Hydrogen Phosphate; [4-Amino-2-[4,6-Diamino-3-[3-Amino-6-(Aminomethyl)-5-Hydroxy-Tetrahydropyran-2-Yl]Oxy-2-Hydroxy-Cyclohexoxy]-5-Hydroxy-6-Methylol-Tetrahydropyran-3-Yl] [5-(6-Aminopurin-9-Yl)-3,4-Dihydroxy-Tetrahydrofuran-2-Yl]Methyl Hydrogen Phosphate |
|
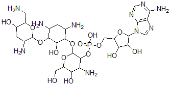
| 分子结构 |
 |
| 分子式 |
C28H49N10O15P |
| 分子量 |
796.73 |
| CAS 登录号 |
114550-26-4 |
| 分子行输入简码 SMILES |
C1=NC6=C([N]1C2C(C(O)C(O2)CO[P](OC3C(C(C(OC3OC4C(O)C(C(CC4N)N)OC5C(CC(C(O5)CN)O)N)CO)O)N)(=O)O)O)N=CN=C6N |
| 国际化学标识码 InChI |
1S/C28H49N10O15P/c29-3-12-11(40)2-10(32)27(49-12)51-21-8(30)1-9(31)22(20(21)44)52-28-23(15(33)17(41)13(4-39)50-28)53-54(45,46)47-5-14-18(42)19(43)26(48-14)38-7-37-16-24(34)35-6-36-25(16)38/h6-15,17-23,26-28,39-44H,1-5,29-33H2,(H,45,46)(H2,34,35,36) |
| 国际化学标识检索码 InChIKey |
RHQLHNATZATWNZ-UHFFFAOYSA-N |
|