Identification
| Name |
Merremoside B |
| Synonyms |
Hexadecanoic Acid, 11-((O-6-Deoxy-4-O-(2-Methyl-1-Oxopropyl)-Alpha-L-Mannopyranosyl-(1-4)-O-6-Deoxy-2-O-(2-Methyl-1-Oxopropyl)-Alpha-L-Mannopyranosyl-(1-4)-O-6-Deoxy-Alpha-L-Mannopyranosyl-(1-4)-6-Deoxy-Alpha-L-Mannopyranosyl)Oxy)-, Intramol. 1,3''-Ester, (S)-; Merremoside B; Merremoside-B |
|
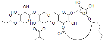
| Molecular Structure |
 |
| Molecular Formula |
C48H82O20 |
| Molecular Weight |
979.16 |
| CAS Registry Number |
115655-77-1 |
| SMILES |
C(C4OC5OC(C(OC3C(C(C(OC1C(C(O)C(C(O1)C)OC2C(C(O)C(C(O2)C)OC(=O)C(C)C)O)OC(=O)C(C)C)C(C)O3)OC(=O)CCCCCCCCC4)O)C(C5O)O)C)CCCC |
| InChI |
1S/C48H82O20/c1-10-11-17-20-29-21-18-15-13-12-14-16-19-22-30(49)63-41-36(55)47(66-38-26(7)58-45(62-29)33(52)32(38)51)60-28(9)40(41)68-48-42(65-44(57)24(4)5)35(54)39(27(8)61-48)67-46-34(53)31(50)37(25(6)59-46)64-43(56)23(2)3/h23-29,31-42,45-48,50-55H,10-22H2,1-9H3 |
| InChIKey |
VTTAWLYKUVJDMQ-UHFFFAOYSA-N |
|