Online Database of Chemicals from Around the World

Thr(10)-Ser(11)-Ala(12)-Arginine Vasopressin
[CAS# 115712-78-2]

Suppliers
CAS#: 115712-78-2
Product: Thr(10)-Ser(11)-Ala(12)-Arginine Vasopressin
No suppilers available for the product.
Identification
Name Thr(10)-Ser(11)-Ala(12)-Arginine Vasopressin
Synonyms Argipressin, Thr(10)-Ser(11)-Ala(12)-; Argipressin, Threonyl(10)-Serinyl(11)-Alanine(12)-; Vasopressin, N-(N-(L-Threonyl-L-Seryl)-L-Alanyl)-8-L-Arginine-
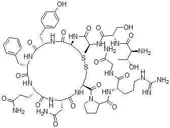
Molecular Structure CAS#: 115712-78-2, Thr(10)-Ser(11)-Ala(12)-Arginine Vasopressin
Molecular Formula C56H82N18O17S2
Molecular Weight 1343.49
CAS Registry Number 115712-78-2
SMILES [C@@H](NC(=O)[C@@H](N)[C@@H](C)O)(C(N[C@H](C(N[C@H]2CSSC[C@@H](C(N1C(C(N[C@H](C(NCC(N)=O)=O)CCCNC(N)=N)=O)CCC1)=O)NC([C@@H](NC([C@@H](NC([C@@H](NC([C@@H](NC2=O)CC3=CC=C(C=C3)O)=O)CC4=CC=CC=C4)=O)CCC(N)=O)=O)CC(N)=O)=O)=O)C)=O)CO
InChI 1S/C56H82N18O17S2/c1-27(65-51(87)37(24-75)71-54(90)44(60)28(2)76)45(81)72-38-25-92-93-26-39(55(91)74-19-7-11-40(74)53(89)67-32(10-6-18-63-56(61)62)46(82)64-23-43(59)80)73-50(86)36(22-42(58)79)70-47(83)33(16-17-41(57)78)66-48(84)34(20-29-8-4-3-5-9-29)68-49(85)35(69-52(38)88)21-30-12-14-31(77)15-13-30/h3-5,8-9,12-15,27-28,32-40,44,75-77H,6-7,10-11,16-26,60H2,1-2H3,(H2,57,78)(H2,58,79)(H2,59,80)(H,64,82)(H,65,87)(H,66,84)(H,67,89)(H,68,85)(H,69,88)(H,70,83)(H,71,90)(H,72,81)(H,73,86)(H4,61,62,63)/t27-,28+,32-,33-,34-,35-,36-,37-,38-,39-,40?,44-/m0/s1
InChIKey RNONUHATTFUMGG-HNTDYGRUSA-N
Market Analysis Reports
List of Reports Available for Thr(10)-Ser(11)-Ala(12)-Arginine Vasopressin
Related Products
(2-Acetyloxy-3-Hydroxypropyl) (1R,2S,4aS...  (3-Acetyloxy-2-Hydroxypropyl) (1R,2S,4aS...  beta-(Z)-Santalol  2-Methyl 1,2,3-Triprop-2-Enyl Propane-1,...  1,5-Dimethyl-2-(3-Methylphenyl)Pyrazol-3...  (2S)-2-[[4-[(2-Amino-4-Oxo-1H-Pyrido[5,6...  Trimetaphan Nitroprusside  (8Z)-2-(3,4-Dihydroxy-4,6-Dimethyl-5-Met...  [(3-Methylpyrido[3,2-e]Benzimidazol-2-Yl...  (2-Tert-Butyl-4-Methylcyclohexyl) Acetat...  Apopolysialoglycoprotein  3',5'-Cyclic deoxyadenylic acid  Periplocoside B  [(5R)-2-Oxo-3-Propan-2-Yl-1,3-Oxazolidin...  2-Amino-9-[(2R,4S,5R)-4-Hydroxy-5-(Hydro...