Online Database of Chemicals from Around the World

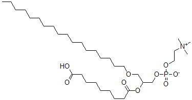
[2-(9-Hydroxy-9-oxo-nonanoyl)oxy-3-octadecoxy-propyl] 2-trimethylazaniumylethyl phosphate
[CAS# 117320-06-6]

Suppliers
Achemica Switzerland Inquire  
+41 (24) 466-2929
contact@achemica.com
Chemical manufacturer since 2010
Identification
Name [2-(9-Hydroxy-9-oxo-nonanoyl)oxy-3-octadecoxy-propyl] 2-trimethylazaniumylethyl phosphate
Synonyms [2-(9-Hydroxy-9-Oxo-Nonanoyl)Oxy-3-Octadecoxy-Propyl] 2-Trimethylammonioethyl Phosphate; [2-(9-Hydroxy-1,9-Dioxononoxy)-3-Octadecoxypropyl] 2-Trimethylammonioethyl Phosphate; [2-(9-Hydroxy-9-Keto-Nonanoyl)Oxy-3-Stearyloxy-Propyl] 2-Trimethylammonioethyl Phosphate
Molecular Structure CAS#: 117320-06-6, [2-(9-Hydroxy-9-oxo-nonanoyl)oxy-3-octadecoxy-propyl] 2-trimethylazaniumylethyl phosphate
Molecular Formula C35H70NO9P
Molecular Weight 679.91
CAS Registry Number 117320-06-6
SMILES C(O[P](OCC[N+](C)(C)C)([O-])=O)C(OC(=O)CCCCCCCC(=O)O)COCCCCCCCCCCCCCCCCCC
InChI 1S/C35H70NO9P/c1-5-6-7-8-9-10-11-12-13-14-15-16-17-18-22-25-29-42-31-33(32-44-46(40,41)43-30-28-36(2,3)4)45-35(39)27-24-21-19-20-23-26-34(37)38/h33H,5-32H2,1-4H3,(H-,37,38,40,41)
InChIKey SPJGRQXWAJFBBQ-UHFFFAOYSA-N
Market Analysis Reports
List of Reports Available for [2-(9-Hydroxy-9-oxo-nonanoyl)oxy-3-octadecoxy-propyl] 2-trimethylazaniumylethyl phosphate
Related Products
4-[(3S,5S,7S,10S,13R,14S,17R)-3,7,14-Tri...  1-N-(3-Amino-2-Hydroxybutanoyl)-2',3'-Di...  [2-[(8S,9S,10R,13S,14S,17S)-10,13-Dimeth...  (8Z)-8-[[2-Methyl-4-[3-Methyl-4-[2-(4-Ox...  14B-(P-Chlorocinnamoylamino)-7,8-Dihydro...  N-Acetyldopamine Quinone Methide  2-Iodo-7,8-Dibromodibenzo-1,4-Dioxin  2-Hydroxy-(1-N-Nitrosoindole)Propionicac...  (8Z)-7-Oxo-8-[[4-[4-[2-(4-Oxo-1-Cyclohex...  Haloperidol 4-Azidobenzoate  N,N,N,N',N',N'-Hexamethyl-6-phenyl-3,8-p...  Tert-Butoxycarbonylalanyl-Psi-Thiomethyl...  12-Hydroxy-5,8,14-Eicosatrienoic Acid  Scyliorhinin II (3-18)  1-(2-Nitro-4,5-Dimethoxyphenyl)-N,N,N',N...