Online Database of Chemicals from Around the World

苯基丙酰-辅酶A
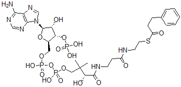
[CAS# 117411-09-3]

供应商
CAS#: 117411-09-3
产品: 苯基丙酰-辅酶A
暂时没有厂家供应该产品。
基本信息
产品名称 苯基丙酰-辅酶A
英文名 Phenylpropionyl-Coenzyme A
别名 S-[2-[3-[[(2R)-4-[[[(2R,3S,4R,5R)-5-(6-Aminopurin-9-Yl)-4-Hydroxy-3-Phosphonooxy-Tetrahydrofuran-2-Yl]Methoxy-Hydroxy-Phosphoryl]Oxy-Hydroxy-Phosphoryl]Oxy-2-Hydroxy-3,3-Dimethyl-Butanoyl]Amino]Propanoylamino]Ethyl] 3-Phenylpropanethioate; 3-Phenylpropanethioic Acid S-[2-[[3-[[(2R)-4-[[[(2R,3S,4R,5R)-5-(6-Amino-9-Purinyl)-4-Hydroxy-3-Phosphonooxy-2-Tetrahydrofuranyl]Methoxy-Hydroxyphosphoryl]Oxy-Hydroxyphosphoryl]Oxy-2-Hydroxy-3,3-Dimethyl-1-Oxobutyl]Amino]-1-Oxopropyl]Amino]Ethyl] Ester; 3-Phenylpropanethioic Acid S-[2-[3-[[(2R)-4-[[[(2R,3S,4R,5R)-5-(6-Aminopurin-9-Yl)-4-Hydroxy-3-Phosphonooxy-Tetrahydrofuran-2-Yl]Methoxy-Hydroxy-Phosphoryl]Oxy-Hydroxy-Phosphoryl]Oxy-2-Hydroxy-3,3-Dimethyl-Butanoyl]Amino]Propanoylamino]Ethyl] Ester
分子结构 CAS 登录号:117411-09-3, 苯基丙酰-辅酶A
分子式 C30H44N7O17P3S
分子量 899.70
CAS 登录号 117411-09-3
分子行输入简码 SMILES [C@H]1(O[C@@H]([C@@H](O[P](=O)(O)O)[C@H]1O)CO[P](O[P](OCC([C@@H](O)C(=O)NCCC(=O)NCCSC(=O)CCC2=CC=CC=C2)(C)C)(=O)O)(=O)O)[N]3C4=C(N=C3)C(=NC=N4)N
国际化学标识码 InChI 1S/C30H44N7O17P3S/c1-30(2,25(41)28(42)33-11-10-20(38)32-12-13-58-21(39)9-8-18-6-4-3-5-7-18)15-51-57(48,49)54-56(46,47)50-14-19-24(53-55(43,44)45)23(40)29(52-19)37-17-36-22-26(31)34-16-35-27(22)37/h3-7,16-17,19,23-25,29,40-41H,8-15H2,1-2H3,(H,32,38)(H,33,42)(H,46,47)(H,48,49)(H2,31,34,35)(H2,43,44,45)/t19-,23-,24-,25+,29-/m1/s1
国际化学标识检索码 InChIKey HYSDRCZPYSOWME-FUEUKBNZSA-N
物理化学性质
密度 1.765g/cm3 (计算值)
市场分析报告
请浏览苯基丙酰-辅酶A市场分析报告总目录
相关产品
4-[[1-乙氧基-2-氧代-2-(4-苯基苯基)...  氯二(二环己基苯基膦)金(I)  四乙基铵三溴(2-(2-乙酰氧基苯乙烯基)苯并噻唑...  3'-O-(5-氟-2,4-二硝基苯基)三磷酸腺苷...  3'-O-(5-氟-2,4-二硝基苯基)二磷酸腺苷...  3-(1,2-环氧丁-3-烯基)-4-乙烯基环戊烯  烟曲霉毒素A2  烟曲霉毒素A1  Oxysceptrin  Dibromosceptrin  4-羟基-3-戊烯酸  4-叔丁基-1-(4-碘苯基)-2,6,7-三氧杂...  4-(4-氨基-5-甲氧基-2-甲基苯基)偶氮-5...  (3E)-5-氨基-3-[[2-甲氧基-5-甲基-...  镍(II)高溴酸盐