|
CAS#: 117525-89-0 Product: Leu-ile-ser-bradykinin No suppilers available for the product. |
| Name | Leu-ile-ser-bradykinin |
|---|---|
| Synonyms | (2S)-2-[[(2S)-2-[[(2S)-1-[(2S)-2-[[(2S)-2-[[2-[[(2S)-1-[(2S)-1-[(2S)-2-[[(2S)-2-[[(2S,3S)-2-[[(2S)-2-Amino-4-Methyl-Pentanoyl]Amino]-3-Methyl-Pentanoyl]Amino]-3-Hydroxy-Propanoyl]Amino]-5-Guanidino-Pentanoyl]Pyrrolidine-2-Carbonyl]Pyrrolidine-2-Carbonyl]Amino]Acetyl]Amino]-3-Phenyl-Propanoyl]Amino]-3-Hydroxy-Propanoyl]Pyrrolidine-2-Carbonyl]Amino]-3-Phenyl-Propanoyl]Amino]-5-Guanidino-Pentanoic Acid; (2S)-2-[[(2S)-2-[[[(2S)-1-[(2S)-2-[[(2S)-2-[[2-[[[(2S)-1-[[(2S)-1-[(2S)-2-[[(2S)-2-[[(2S,3S)-2-[[(2S)-2-Amino-4-Methyl-1-Oxopentyl]Amino]-3-Methyl-1-Oxopentyl]Amino]-3-Hydroxy-1-Oxopropyl]Amino]-5-Guanidino-1-Oxopentyl]-2-Pyrrolidinyl]-Oxomethyl]-2-Pyrrolidinyl]-Oxomethyl]Amino]-1-Oxoethyl]Amino]-1-Oxo-3-Phenylpropyl]Amino]-3-Hydroxy-1-Oxopropyl]-2-Pyrrolidinyl]-Oxomethyl]Amino]-1-Oxo-3-Phenylpropyl]Amino]-5-Guanidinopentanoic Acid; (2S)-2-[[(2S)-2-[[(2S)-1-[(2S)-2-[[(2S)-2-[[2-[[(2S)-1-[(2S)-1-[(2S)-2-[[(2S)-2-[[(2S,3S)-2-[[(2S)-2-Amino-4-Methyl-Pentanoyl]Amino]-3-Methyl-Pentanoyl]Amino]-3-Hydroxy-Propanoyl]Amino]-5-Guanidino-Pentanoyl]Pyrrolidine-2-Carbonyl]Pyrrolidine-2-Carbonyl]Amino]Acetyl]Amino]-3-Phenyl-Propanoyl]Amino]-3-Hydroxy-Propanoyl]Pyrrolidine-2-Carbonyl]Amino]-3-Phenyl-Propanoyl]Amino]-5-Guanidino-Valeric Acid |
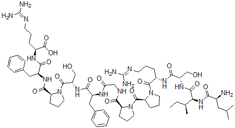
| Molecular Structure | ![]() |
| Molecular Formula | C65H100N18O15 |
| Molecular Weight | 1373.62 |
| CAS Registry Number | 117525-89-0 |
| SMILES | [C@@H]1(N(CCC1)C(=O)[C@@H](NC(=O)[C@@H](NC(=O)[C@@H](NC(=O)[C@@H](N)CC(C)C)[C@H](CC)C)CO)CCCN=C(N)N)C(=O)N2[C@@H](CCC2)C(=O)NCC(=O)N[C@H](C(=O)N[C@H](C(=O)N3[C@@H](CCC3)C(=O)N[C@@H](CC4=CC=CC=C4)C(=O)N[C@@H](CCCN=C(N)N)C(O)=O)CO)CC5=CC=CC=C5 |
| InChI | 1S/C65H100N18O15/c1-5-38(4)52(80-53(87)41(66)31-37(2)3)59(93)78-46(35-84)56(90)75-42(21-12-26-71-64(67)68)60(94)83-30-16-25-50(83)62(96)82-29-14-23-48(82)57(91)73-34-51(86)74-44(32-39-17-8-6-9-18-39)54(88)79-47(36-85)61(95)81-28-15-24-49(81)58(92)77-45(33-40-19-10-7-11-20-40)55(89)76-43(63(97)98)22-13-27-72-65(69)70/h6-11,17-20,37-38,41-50,52,84-85H,5,12-16,21-36,66H2,1-4H3,(H,73,91)(H,74,86)(H,75,90)(H,76,89)(H,77,92)(H,78,93)(H,79,88)(H,80,87)(H,97,98)(H4,67,68,71)(H4,69,70,72)/t38-,41-,42-,43-,44-,45-,46-,47-,48-,49-,50-,52-/m0/s1 |
| InChIKey | ZJDPLLSGJXQZSR-HMPWLZDGSA-N |
| Density | 1.448g/cm3 (Cal.) |
|---|---|
| Market Analysis Reports |
| List of Reports Available for Leu-ile-ser-bradykinin |