Online Database of Chemicals from Around the World

1,2-双十一烷酰磷脂酰乙醇胺
[CAS# 117610-63-6]

供应商
CAS#: 117610-63-6
产品: 1,2-双十一烷酰磷脂酰乙醇胺
暂时没有厂家供应该产品。
基本信息
产品名称 1,2-双十一烷酰磷脂酰乙醇胺
英文名 1,2-Diundecanoylphosphatidylethanolamine
别名 [(1R)-1-[(2-Aminoethoxy-Hydroxy-Phosphoryl)Oxymethyl]-2-Undecanoyloxy-Ethyl] Undecanoate; Undecanoic Acid [(1R)-1-[(2-Aminoethoxy-Hydroxyphosphoryl)Oxymethyl]-2-(1-Oxoundecoxy)Ethyl] Ester; Undecanoic Acid [(1R)-1-[(2-Aminoethoxy-Hydroxy-Phosphoryl)Oxymethyl]-2-Undecanoyloxy-Ethyl] Ester
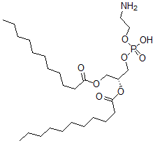
分子结构 CAS 登录号:117610-63-6, 1,2-双十一烷酰磷脂酰乙醇胺
分子式 C27H54NO8P
分子量 551.70
CAS 登录号 117610-63-6
分子行输入简码 SMILES [C@@H](COC(CCCCCCCCCC)=O)(CO[P](=O)(O)OCCN)OC(CCCCCCCCCC)=O
国际化学标识码 InChI 1S/C27H54NO8P/c1-3-5-7-9-11-13-15-17-19-26(29)33-23-25(24-35-37(31,32)34-22-21-28)36-27(30)20-18-16-14-12-10-8-6-4-2/h25H,3-24,28H2,1-2H3,(H,31,32)/t25-/m1/s1
国际化学标识检索码 InChIKey ZWPYUJDPKPNXJG-RUZDIDTESA-N
物理化学性质
密度 1.062g/cm3 (计算值)
沸点 625.878°C at 760 mmHg (计算值)
闪点 332.319°C (计算值)
市场分析报告
请浏览1,2-双十一烷酰磷脂酰乙醇胺市场分析报告总目录
相关产品
苄氧羰基-亮氨酰-蛋氨醛  槲皮素 3-O-alpha-吡喃鼠李糖基-(1-2...  1-甲基-4-(1-萘基乙烯基)哌啶  辛基二氯丙基磷酸酯  8-O-甲基腊伯罗霉素  17-(4-叠氮基苯基)-18,19,20-三去甲...  2',3',5'-三氯-2',3',5'-三脱氧-...  2',3',5'-三氯-2',3'-5'-三脱氧-...  (N-苯甲酰基)-5-((3,4-二甲氧基苯乙基)...  3-乙基二氢-4-(1-甲基-1H-咪唑-5-基)...  鸟苷二磷酸吡哆醛  鸟苷三磷酸吡哆醛  (21-beta)-alpha'-Neogamma...  甲基4-(4,5-二甲氧基-2-硝基-苯基)-1,...  3-(羟基乙基)-5-甲基-8-(2-甲基乙基)-...