Online Database of Chemicals from Around the World

氯东方菌素C
[CAS# 118373-82-3]

供应商
CAS#: 118373-82-3
产品: 氯东方菌素C
暂时没有厂家供应该产品。
基本信息
产品名称 氯东方菌素C
英文名 Chloroorienticin C
别名 Vancomycin, 22-O-(3-Amino-2,3,6-Trideoxy-3-C-Methyl-Alpha-L-Arabino-Hexopyranosyl)-14-O-De(2-O-(3-Amino-2,3,6-Trideoxy-3-C-Methyl-Alpha-L-Arabino-Hexopyranosyl)-Beta-D-Glucopyranosyl)-
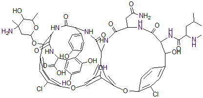
分子结构 CAS 登录号:118373-82-3, 氯东方菌素C
分子式 C60H65Cl2N9O19
分子量 1287.13
CAS 登录号 118373-82-3
分子行输入简码 SMILES C6=C5C(NC(C3C(C1=CC=C(C(=C1)Cl)OC2=C(C7=CC(=C2)C(C(NC(C(N3)=O)C4=CC=C(C(=C4)C5=C(C=C6O)O)O)=O)NC(C(NC(C(C(O)C8=CC(=C(O7)C=C8)Cl)NC(C(CC(C)C)NC)=O)=O)CC(N)=O)=O)O)OC9CC(C(O)C(O9)C)(C)N)=O)C(O)=O
国际化学标识码 InChI 1S/C60H65Cl2N9O19/c1-22(2)12-33(65-5)53(79)70-47-49(76)25-7-10-37(31(61)14-25)88-39-16-27-17-40(50(39)77)89-38-11-8-26(15-32(38)62)51(90-42-21-60(4,64)52(78)23(3)87-42)48-58(84)69-46(59(85)86)30-18-28(72)19-36(74)43(30)29-13-24(6-9-35(29)73)44(55(81)71-48)68-56(82)45(27)67-54(80)34(20-41(63)75)66-57(47)83/h6-11,13-19,22-23,33-34,42,44-49,51-52,65,72-74,76-78H,12,20-21,64H2,1-5H3,(H2,63,75)(H,66,83)(H,67,80)(H,68,82)(H,69,84)(H,70,79)(H,71,81)(H,85,86)
国际化学标识检索码 InChIKey CHSINQSLUWRGER-UHFFFAOYSA-N
物理化学性质
密度 1.624g/cm3 (计算值)
市场分析报告
请浏览氯东方菌素C市场分析报告总目录
相关产品
氯东方菌素D  氯东方菌素E  瑞香楠君  N-(N-马来酰基甘氨酰)-6-氨基-6-脱氧吡喃...  N-(N-马来酰基甘氨酰)-2-氨基-2-脱氧吡喃...  5-((2-(2-萘基甲基)-5-苯并恶唑基)甲基...  2-N-丁基-4-氯-1-(2-氯苄基)咪唑-5-...  氯东方菌素A  1,3-二丁基三氮烯  N-甲基偶氮乙胺  节球藻素  (E)-3-氨基-2-[(Z)-(3-羟基-4-氧...  2-[(3-羟基-4-硝基苯基)亚甲基]丙二腈  (2S)-2-氨基-5-[[(2R)-1-[(2-...  托司哌丁霉素6-(5'-腺苷酸)