|
CAS#: 118395-73-6 Product: Chloroorienticin A No suppilers available for the product. |
| Name | Chloroorienticin A |
|---|---|
| Synonyms | A 82846B; A83846b; Chloroorienticin A |
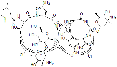
| Molecular Structure | ![]() |
| Molecular Formula | C73H88Cl2N10O26 |
| Molecular Weight | 1592.46 |
| CAS Registry Number | 118395-73-6 |
| SMILES | [C@H]5%10NC(=O)[C@H](NC(=O)[C@@H]3NC(=O)[C@@H](NC(=O)[C@H](NC(=O)[C@H](NC)CC(C)C)[C@H](O)C8=CC=C(OC4=C(O[C@@H]1O[C@@H]([C@@H](O)C(O)[C@H]1O[C@@H]2O[C@H]([C@H](O)[C@@](N)(C2)C)C)CO)C(=CC3=C4)OC7=C(Cl)C=C([C@H]5O[C@@H]6O[C@H]([C@H](O)[C@@](N)(C6)C)C)C=C7)C(=C8)Cl)CC(=O)N)C9=CC=C(O)C(=C9)C%11=C([C@H](NC%10=O)C(=O)O)C=C(O)C=C%11O |
| InChI | 1S/C73H88Cl2N10O26/c1-26(2)14-38(79-7)64(96)84-54-56(91)30-9-12-42(36(74)16-30)106-44-18-32-19-45(60(44)111-71-61(58(93)57(92)46(25-86)108-71)110-49-24-73(6,78)63(95)28(4)105-49)107-43-13-10-31(17-37(43)75)59(109-48-23-72(5,77)62(94)27(3)104-48)55-69(101)83-53(70(102)103)35-20-33(87)21-41(89)50(35)34-15-29(8-11-40(34)88)51(66(98)85-55)82-67(99)52(32)81-65(97)39(22-47(76)90)80-68(54)100/h8-13,15-21,26-28,38-39,46,48-49,51-59,61-63,71,79,86-89,91-95H,14,22-25,77-78H2,1-7H3,(H2,76,90)(H,80,100)(H,81,97)(H,82,99)(H,83,101)(H,84,96)(H,85,98)(H,102,103)/t27-,28-,38+,39-,46+,48-,49-,51+,52+,53-,54+,55-,56+,57+,58?,59+,61+,62-,63-,71-,72-,73-/m0/s1 |
| InChIKey | XJHXLMVKYIVZTE-FIUQLALASA-N |
| Market Analysis Reports |
| List of Reports Available for Chloroorienticin A |