Online Database of Chemicals from Around the World

棕榈酰(3)-半胱氨酰-丝氨酰-(Hiv-1(598-609)环二硫醚)
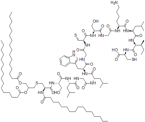
[CAS# 119320-04-6]

供应商
CAS#: 119320-04-6
产品: 棕榈酰(3)-半胱氨酰-丝氨酰-(Hiv-1(598-609)环二硫醚)
暂时没有厂家供应该产品。
基本信息
产品名称 棕榈酰(3)-半胱氨酰-丝氨酰-(Hiv-1(598-609)环二硫醚)
英文名 Palmitoyl(3)-Cysteinyl-Seryl-(Hiv-1(598-609)Cyclic Disulfide)
别名 Pam(3)Cys-Ser-(Hiv-1(598-609)Cyclic Disulfide); Hiv-1 Pcs Cyclic Disulfide; L-Cysteine, S-(2,3-Bis((1-Oxohexadecyl)Oxy)Propyl)-N-(1-Oxohexadecyl)-L-Cysteinyl-L-Seryl-L-Leucylglycyl-L-Leucyl-L-Tryptophylglycyl-L-Cysteinyl-L-Serylglycyl-L-Lysyl-L-Leucyl-L-Isoleucyl-, Cyclic (8-14)-Disulfide
分子结构 CAS 登录号:119320-04-6, 棕榈酰(3)-半胱氨酰-丝氨酰-(Hiv-1(598-609)环二硫醚)
分子式 C113H196N16O22S3
分子量 2227.07
CAS 登录号 119320-04-6
分子行输入简码 SMILES [C@H](C(=O)O)(NC([C@@H](NC([C@@H](NC([C@@H](NC(CNC([C@@H](NC([C@@H](NC(CNC([C@@H](NC([C@@H](NC(CNC([C@@H](NC([C@@H](NC([C@@H](NC(CCCCCCCCCCCCCCC)=O)CSCC(COC(CCCCCCCCCCCCCCC)=O)OC(CCCCCCCCCCCCCCC)=O)=O)CO)=O)CC(C)C)=O)=O)CC(C)C)=O)CC1=C[NH]C2=CC=CC=C12)=O)=O)C=S)=O)CO)=O)=O)CCCCN)=O)CC(C)C)=O)[C@H](CC)C)=O)CS
国际化学标识码 InChI 1S/C113H196N16O22S3/c1-12-16-19-22-25-28-31-34-37-40-43-46-49-59-96(132)122-95(77-154-76-83(151-101(137)61-51-48-45-42-39-36-33-30-27-24-21-18-14-3)73-150-100(136)60-50-47-44-41-38-35-32-29-26-23-20-17-13-2)111(146)127-92(72-131)109(144)123-87(63-78(5)6)103(138)116-69-98(134)120-88(64-79(7)8)107(142)125-90(66-82-67-115-85-57-53-52-56-84(82)85)104(139)117-70-99(135)121-93(74-152)110(145)126-91(71-130)105(140)118-68-97(133)119-86(58-54-55-62-114)106(141)124-89(65-80(9)10)108(143)129-102(81(11)15-4)112(147)128-94(75-153)113(148)149/h52-53,56-57,67,74,78-81,83,86-95,102,115,130-131,153H,12-51,54-55,58-66,68-73,75-77,114H2,1-11H3,(H,116,138)(H,117,139)(H,118,140)(H,119,133)(H,120,134)(H,121,135)(H,122,132)(H,123,144)(H,124,141)(H,125,142)(H,126,145)(H,127,146)(H,128,147)(H,129,143)(H,148,149)/t81-,83?,86-,87-,88-,89-,90-,91-,92-,93-,94-,95-,102-/m0/s1
国际化学标识检索码 InChIKey SDTRBFOBHMIYOG-DBNCJOJGSA-N
市场分析报告
请浏览棕榈酰(3)-半胱氨酰-丝氨酰-(Hiv-1(598-609)环二硫醚)市场分析报告总目录
相关产品
(2S,3S,4R)-3-(羧甲基)-4-[N-[...  6-[(2E)-2-(1,2-二氢吡唑-3-亚基)...  [(4S,5S)-5-(铵基甲基)-2,2-二甲基...  6-氨基-1H-嘧啶-4-硫酮  2-氨基-3H-嘧啶-4-硫酮  17-Acetylrauglucine  4,6-亚乙基-4-硝基苯基麦芽七糖苷  Pi-083  1-(3,5-二氯苯基)-3-羟基吡咯烷-2,5-...  14-去乙酰基裸茎翠雀花碱  3,4-二氯吡咯-2,5-二酮  5-氯-6-羟基-3H-嘧啶-4-酮  5-(二戊基氨基)-4-(萘-2-羰基氨基)-5-...  5-甲基-2-苯基-4-苯基偶氮-4H-吡唑-3-...  4,5-二甲基嘧啶-2-胺