|
CAS#: 119789-44-5 Product: Eremomycin Aglycone No suppilers available for the product. |
| Name | Eremomycin Aglycone |
|---|---|
| Synonyms | Vancomycin, 44-O-De[2-O-(3-Amino-2,3,6-Trideoxy-3-C-Methyl-.Alpha.-Lyxo-Hexopyranosyl)-.Beta.-Glucopyranosyl]-19-Dechloro-; Aids181210; Eremomycin Aglycon |
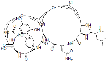
| Molecular Structure | ![]() |
| Molecular Formula | C53H53ClN8O17 |
| Molecular Weight | 1109.50 |
| CAS Registry Number | 119789-44-5 |
| SMILES | [C@H]35NC(=O)[C@@H]1NC(=O)[C@@H](NC(=O)[C@H](NC(=O)[C@H](NC)CC(C)C)[C@H](O)C8=CC(=C(OC2=C(O)C(=CC1=C2)OC7=CC=C([C@@H](O)[C@H](NC3=O)C(=O)N[C@@H](C4=CC(=CC(=C4C6=C(O)C=CC5=C6)O)O)C(=O)O)C=C7)C=C8)Cl)CC(=O)N |
| InChI | 1S/C53H53ClN8O17/c1-20(2)12-30(56-3)47(70)61-43-45(68)23-7-11-34(29(54)14-23)79-36-16-24-15-35(46(36)69)78-26-8-4-21(5-9-26)44(67)42-52(75)60-41(53(76)77)28-17-25(63)18-33(65)38(28)27-13-22(6-10-32(27)64)39(49(72)62-42)59-50(73)40(24)58-48(71)31(19-37(55)66)57-51(43)74/h4-11,13-18,20,30-31,39-45,56,63-65,67-69H,12,19H2,1-3H3,(H2,55,66)(H,57,74)(H,58,71)(H,59,73)(H,60,75)(H,61,70)(H,62,72)(H,76,77)/t30-,31+,39-,40-,41+,42+,43-,44-,45-/m1/s1 |
| InChIKey | RWFDKJBPMLNBSI-GAZOPBORSA-N |
| Density | 1.65g/cm3 (Cal.) |
|---|---|
| Market Analysis Reports |
| List of Reports Available for Eremomycin Aglycone |