Identification
| Name |
N-Parinaroylganglioside G(M1) |
| Synonyms |
5-Acetamido-2-[5-[3-Acetamido-5-Hydroxy-6-(Hydroxymethyl)-4-[3,4,5-Trihydroxy-6-(Hydroxymethyl)Tetrahydropyran-2-Yl]Oxy-Tetrahydropyran-2-Yl]Oxy-2-[4,5-Dihydroxy-2-(Hydroxymethyl)-6-[(E)-3-Hydroxy-2-[[(9E,11E,13E,15E)-Octadeca-9,11,13,15-Tetraenoyl]Amino]Octadec-4-Enoxy]Tetrahydropyran-3-Yl]Oxy-3-Hydroxy-6-(Hydroxymethyl)Tetrahydropyran-4-Yl]Oxy-4-Hydroxy-6-(1,2,3-Trihydroxypropyl)Tetrahydropyran-2-Carboxylic Acid; 5-Acetamido-2-[[5-[[3-Acetamido-5-Hydroxy-6-(Hydroxymethyl)-4-[[3,4,5-Trihydroxy-6-(Hydroxymethyl)-2-Tetrahydropyranyl]Oxy]-2-Tetrahydropyranyl]Oxy]-2-[[4,5-Dihydroxy-2-(Hydroxymethyl)-6-[(E)-3-Hydroxy-2-[[(9E,11E,13E,15E)-1-Oxooctadeca-9,11,13,15-Tetraenyl]Amino]Octadec-4-Enoxy]-3-Tetrahydropyranyl]Oxy]-3-Hydroxy-6-(Hydroxymethyl)-4-Tetrahydropyranyl]Oxy]-4-Hydroxy-6-(1,2,3-Trihydroxypropyl)-2-Tetrahydropyrancarboxylic Acid; 5-Acetamido-2-[5-[3-Acetamido-5-Hydroxy-6-Methylol-4-(3,4,5-Trihydroxy-6-Methylol-Tetrahydropyran-2-Yl)Oxy-Tetrahydropyran-2-Yl]Oxy-2-[4,5-Dihydroxy-6-[(E)-3-Hydroxy-2-[[(9E,11E,13E,15E)-Octadeca-9,11,13,15-Tetraenoyl]Amino]Octadec-4-Enoxy]-2-Methylol-Tetrahydropyran-3-Yl]Oxy-3-Hydroxy-6-Methylol-Tetrahydropyran-4-Yl]Oxy-4-Hydroxy-6-(1,2,3-Trihydroxypropyl)Tetrahydropyran-2-Carboxylic Acid |
|
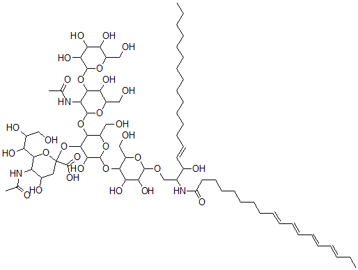
| Molecular Structure |
 |
| Molecular Formula |
C73H123N3O31 |
| Molecular Weight |
1538.78 |
| CAS Registry Number |
120418-73-7 |
| SMILES |
C(CCCCCCC)CCCCC/C=C/C(C(NC(CCCCCCC\C=C\C=C\C=C\C=C\CC)=O)COC1C(C(C(C(O1)CO)OC2C(C(C(C(O2)CO)OC3C(C(C(C(O3)CO)O)OC4C(C(C(C(O4)CO)O)O)O)NC(C)=O)OC5(OC(C(C(C5)O)NC(C)=O)C(C(CO)O)O)C(=O)O)O)O)O)O |
| InChI |
1S/C73H123N3O31/c1-5-7-9-11-13-15-17-19-20-22-24-26-28-30-32-34-52(87)76-44(45(84)33-31-29-27-25-23-21-18-16-14-12-10-8-6-2)41-98-69-61(94)59(92)63(50(39-80)101-69)103-71-62(95)67(107-73(72(96)97)35-46(85)53(74-42(3)82)66(106-73)55(88)47(86)36-77)64(51(40-81)102-71)104-68-54(75-43(4)83)65(57(90)49(38-79)99-68)105-70-60(93)58(91)56(89)48(37-78)100-70/h7,9,11,13,15,17,19-20,31,33,44-51,53-71,77-81,84-86,88-95H,5-6,8,10,12,14,16,18,21-30,32,34-41H2,1-4H3,(H,74,82)(H,75,83)(H,76,87)(H,96,97)/b9-7+,13-11+,17-15+,20-19+,33-31+ |
| InChIKey |
DQOZMNQCTJNGNS-SKUYKWLDSA-N |
|