Online Database of Chemicals from Around the World

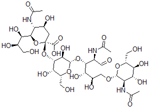
N-乙酰神经胺基(2-3)半乳糖基(1-3)-N-乙酰基葡糖基(1-6)-N-乙酰基半乳糖
[CAS# 122137-12-6]

供应商
CAS#: 122137-12-6
产品: N-乙酰神经胺基(2-3)半乳糖基(1-3)-N-乙酰基葡糖基(1-6)-N-乙酰基半乳糖
暂时没有厂家供应该产品。
基本信息
产品名称 N-乙酰神经胺基(2-3)半乳糖基(1-3)-N-乙酰基葡糖基(1-6)-N-乙酰基半乳糖
英文名 N-Acetylneuraminyl(2-3)Galactosyl(1-3)-N-Acetylglucosyl(1-6)-N-Acetylgalactose
别名 (2S,4S,5R,6R)-5-Acetamido-2-[(2R,3R,4S,5S,6R)-2-[(1R,2S,3R)-4-[(2R,3R,4R,5S,6R)-3-Acetamido-4,5-Dihydroxy-6-(Hydroxymethyl)Tetrahydropyran-2-Yl]Oxy-1-[(1R)-1-Acetamido-2-Oxo-Ethyl]-2,3-Dihydroxy-Butoxy]-3,5-Dihydroxy-6-(Hydroxymethyl)Tetrahydropyran-4-Yl]Oxy-4-Hydroxy-6-[(1R,2R)-1,2,3-Trihydroxypropyl]Tetrahydropyran-2-Carboxylic Acid; (2S,4S,5R,6R)-5-Acetamido-2-[[(2R,3R,4S,5S,6R)-2-[(1R,2S,3R)-4-[[(2R,3R,4R,5S,6R)-3-Acetamido-4,5-Dihydroxy-6-(Hydroxymethyl)-2-Tetrahydropyranyl]Oxy]-1-[(1R)-1-Acetamido-2-Oxoethyl]-2,3-Dihydroxybutoxy]-3,5-Dihydroxy-6-(Hydroxymethyl)-4-Tetrahydropyranyl]Oxy]-4-Hydroxy-6-[(1R,2R)-1,2,3-Trihydroxypropyl]-2-Tetrahydropyrancarboxylic Acid; (2S,4S,5R,6R)-5-Acetamido-2-[(2R,3R,4S,5S,6R)-2-[(1R,2S,3R)-4-[(2R,3R,4R,5S,6R)-3-Acetamido-4,5-Dihydroxy-6-Methylol-Tetrahydropyran-2-Yl]Oxy-1-[(1R)-1-Acetamido-2-Keto-Ethyl]-2,3-Dihydroxy-Butoxy]-3,5-Dihydroxy-6-Methylol-Tetrahydropyran-4-Yl]Oxy-4-Hydroxy-6-[(1R,2R)-1,2,3-Trihydroxypropyl]Tetrahydropyran-2-Carboxylic Acid
分子结构 CAS 登录号:122137-12-6, N-乙酰神经胺基(2-3)半乳糖基(1-3)-N-乙酰基葡糖基(1-6)-N-乙酰基半乳糖
分子式 C33H55N3O24
分子量 877.80
CAS 登录号 122137-12-6
分子行输入简码 SMILES [C@@H]1(NC(=O)C)[C@H](C[C@](O[C@H]1[C@@H]([C@@H](CO)O)O)(O[C@@H]2[C@H]([C@@H](O[C@@H]([C@@H]2O)CO)O[C@@H]([C@H]([C@@H](CO[C@@H]3O[C@H](CO)[C@H]([C@@H]([C@H]3NC(=O)C)O)O)O)O)[C@@H](NC(=O)C)C=O)O)C(O)=O)O
国际化学标识码 InChI 1S/C33H55N3O24/c1-10(41)34-13(5-37)27(22(48)16(46)9-55-30-20(36-12(3)43)25(51)23(49)17(7-39)56-30)58-31-26(52)29(24(50)18(8-40)57-31)60-33(32(53)54)4-14(44)19(35-11(2)42)28(59-33)21(47)15(45)6-38/h5,13-31,38-40,44-52H,4,6-9H2,1-3H3,(H,34,41)(H,35,42)(H,36,43)(H,53,54)/t13-,14-,15+,16+,17+,18+,19+,20+,21+,22-,23+,24-,25+,26+,27+,28+,29-,30+,31-,33-/m0/s1
国际化学标识检索码 InChIKey WRCLLMLSHVQVSB-MFWAWNLTSA-N
物理化学性质
密度 1.663g/cm3 (计算值)
沸点 1378.133°C at 760 mmHg (计算值)
闪点 787.266°C (计算值)
市场分析报告
请浏览N-乙酰神经胺基(2-3)半乳糖基(1-3)-N-乙酰基葡糖基(1-6)-N-乙酰基半乳糖市场分析报告总目录
相关产品
阿瓦醇单乙酸酯  2,3,4,5,6-五羟基己酸  2-(3-氯丙基)-2,5,7,8-四甲基-6-色...  (5,5-二甲基-3-氧代-1-环己烯基)N,N-...  3-[3-(二甲基氨基甲基亚基氨基)-2,4,6-...  [4-[(1E,3E)-4-(3-乙基-1,3-苯...  1-甲基-5-(4-二甲胺苯基偶氮)吲唑  1-甲基-5-(4-甲基氨基苯基偶氮)吲唑  5-(4-甲基氨基苯基偶氮)吲唑  5-(4'-(N-哌啶基)苯基偶氮)吲唑  三亚甲基-二(4-羟基亚氨甲基)吡啶鎓二溴化物单-...  17,20-二甲基异卡巴环素  麦地拉宁  1-氨基-4-[[4-[(二甲基氨基)甲基]苯基]...  四钠7,7'-[羰基二[亚氨基(5-甲氧基-2-甲...