Online Database of Chemicals from Around the World

N,N'-1,3-丙烷二基二(4-O-(2,3,4,6-四-O-磺基-beta-D-吡喃半乳糖基)-D-葡糖酰胺 2,2',3,3',5,5',6,6'-八(氢硫酸酯)十六钠盐
[CAS# 123072-48-0]

供应商
CAS#: 123072-48-0
产品: N,N'-1,3-丙烷二基二(4-O-(2,3,4,6-四-O-磺基-beta-D-吡喃半乳糖基)-D-葡糖酰胺 2,2',3,3',5,5',6,6'-八(氢硫酸酯)十六钠盐
暂时没有厂家供应该产品。
基本信息
产品名称 N,N'-1,3-丙烷二基二(4-O-(2,3,4,6-四-O-磺基-beta-D-吡喃半乳糖基)-D-葡糖酰胺 2,2',3,3',5,5',6,6'-八(氢硫酸酯)十六钠盐
英文名 N,N'-1,3-propanediylbis(4-O-(2,3,4,6-tetra-O-sulfo-beta-D-galactopyranosyl)-D-Gluconamide 2,2',3,3',5,5',6,6'-octakis(hydrogen sulfate) hexadecasodium salt
别名 Hexadecasodium [(2S,3R,4S,5S,6R)-2-[(1R,2S,3R)-1-[(1R)-1,2-Disulfonatooxyethyl]-4-Oxo-2,3-Disulfonatooxy-4-[12-[[(2R,3S,4R,5R)-2,3,5,6-Tetrasulfonatooxy-4-[(2S,3R,4S,5S,6R)-3,4,5-Trisulfonatooxy-6-(Sulfonatooxymethyl)Tetrahydropyran-2-Yl]Oxy-Hexanoyl]Amino]Dodecylamino]Butoxy]-3,5-Disulfonatooxy-6-(Sulfonatooxymethyl)Tetrahydropyran-4-Yl] Sulfate; Hexadecasodium [(2S,3R,4S,5S,6R)-2-[(1R,2S,3R)-1-[(1R)-1,2-Disulfonatooxyethyl]-4-Oxo-4-[12-[[(2R,3S,4R,5R)-1-Oxo-2,3,5,6-Tetrasulfonatooxy-4-[[(2S,3R,4S,5S,6R)-3,4,5-Trisulfonatooxy-6-(Sulfonatooxymethyl)-2-Tetrahydropyranyl]Oxy]Hexyl]Amino]Dodecylamino]-2,3-Disulfonatooxybutoxy]-3,5-Disulfonatooxy-6-(Sulfonatooxymethyl)-4-Tetrahydropyranyl] Sulfate; Hexadecasodium [(2S,3R,4S,5S,6R)-2-[(1R,2S,3R)-1-[(1R)-1,2-Disulfatoethyl]-4-Keto-2,3-Disulfato-4-[12-[[(2R,3S,4R,5R)-2,3,5,6-Tetrasulfato-4-[(2S,3R,4S,5S,6R)-3,4,5-Trisulfato-6-(Sulfatomethyl)Tetrahydropyran-2-Yl]Oxy-Hexanoyl]Amino]Dodecylamino]Butoxy]-3,5-Disulfato-6-(Sulfatomethyl)Tetrahydropyran-4-Yl] Sulfate
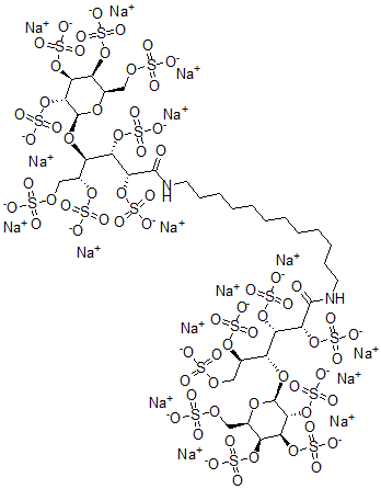
分子结构 CAS 登录号:123072-48-0, N,N'-1,3-丙烷二基二(4-O-(2,3,4,6-四-O-磺基-beta-D-吡喃半乳糖基)-D-葡糖酰胺 2,2',3,3',5,5',6,6'-八(氢硫酸酯)十六钠盐
分子式 C36H52N2Na16O70S16
分子量 2513.57
CAS 登录号 123072-48-0
分子行输入简码 SMILES [Na+].[Na+].[Na+].[Na+].[Na+].[Na+].[Na+].[C@@H]1(O[S]([O-])(=O)=O)[C@@H](O[S]([O-])(=O)=O)[C@@H](O[C@@H]([C@@H]1O[S]([O-])(=O)=O)CO[S]([O-])(=O)=O)O[C@@H]([C@H](O[S]([O-])(=O)=O)[C@@H](O[S]([O-])(=O)=O)C(=O)NCCCCCCCCCCCCNC(=O)[C@H](O[S]([O-])(=O)=O)[C@@H](O[S]([O-])(=O)=O)[C@H](O[C@@H]2O[C@@H]([C@H](O[S]([O-])(=O)=O)[C@H](O[S]([O-])(=O)=O)[C@H]2O[S]([O-])(=O)=O)CO[S]([O-])(=O)=O)[C@H](O[S]([O-])(=O)=O)CO[S]([O-])(=O)=O)[C@H](O[S]([O-])(=O)=O)CO[S]([O-])(=O)=O.[Na+].[Na+].[Na+].[Na+].[Na+].[Na+].[Na+].[Na+].[Na+]
国际化学标识码 InChI 1S/C36H68N2O70S16.16Na/c39-33(29(105-121(77,78)79)25(101-117(65,66)67)21(19(97-113(53,54)55)15-91-111(47,48)49)95-35-31(107-123(83,84)85)27(103-119(71,72)73)23(99-115(59,60)61)17(93-35)13-89-109(41,42)43)37-11-9-7-5-3-1-2-4-6-8-10-12-38-34(40)30(106-122(80,81)82)26(102-118(68,69)70)22(20(98-114(56,57)58)16-92-112(50,51)52)96-36-32(108-124(86,87)88)28(104-120(74,75)76)24(100-116(62,63)64)18(94-36)14-90-110(44,45)46;;;;;;;;;;;;;;;;/h17-32,35-36H,1-16H2,(H,37,39)(H,38,40)(H,41,42,43)(H,44,45,46)(H,47,48,49)(H,50,51,52)(H,53,54,55)(H,56,57,58)(H,59,60,61)(H,62,63,64)(H,65,66,67)(H,68,69,70)(H,71,72,73)(H,74,75,76)(H,77,78,79)(H,80,81,82)(H,83,84,85)(H,86,87,88);;;;;;;;;;;;;;;;/q;16*+1/p-16/t17-,18-,19-,20-,21-,22-,23+,24+,25+,26+,27+,28+,29-,30-,31-,32-,35+,36+;;;;;;;;;;;;;;;;/m1................/s1
国际化学标识检索码 InChIKey CVOGVYCFXXBYCU-YBHHRFKPSA-A
市场分析报告
请浏览N,N'-1,3-丙烷二基二(4-O-(2,3,4,6-四-O-磺基-beta-D-吡喃半乳糖基)-D-葡糖酰胺 2,2',3,3',5,5',6,6'-八(氢硫酸酯)十六钠盐市场分析报告总目录
相关产品
N-(6-氧代己基)乙酰胺  N,N'-二甲基-1,4-丁烷二胺与1,4-二(1...  N,N-二乙基-N',N'-二甲基乙烷-1,2-二...  4-[[1-[(3S)-4-羟基-3-(甲氧基甲氧...  4-[[1-[(2S)-3-(2,3-二氢-1H-...  [(2R,3S,4R,5R)-5-(3-硫代氨基甲...  [(2R,3S,4R,5R)-5-(3-氰基-1,...  N'-(2-二乙基氨基乙基)-N,N-二乙基乙烷-...  (3R,5R)-4-[3,5-二羟基-4-(3,4...  (1R,3R,4S,5R)-3-[3,5-二羟基-...  2-(二甲基氨基甲基)-1-(3-甲氧基苯基)环己...  顺式-璎柏酸  2-羟基-5-[[(2R,3R,4S,5S,6R)...  [(2R,3S,4R,5R,6R)-2-(羟基甲基...  1-己基吡咯烷