| Alfa Chemistry | 美国 | 询价快递 | ||
|---|---|---|---|---|
![]() |
+1 (201) 478-8534 | |||
![]() |
inquiry@alfa-chemistry.com | |||
| 化学品供销商(2012 年起) | ||||
| chemBlink 标准供应商(2012 年起) | ||||
| Glentham Life Sciences | 英国 | 询价快递 | ||
|---|---|---|---|---|
![]() |
+44 (2033) 978-798 | |||
![]() |
info@glenthamls.com | |||
| 化学品供销商(2013 年起) | ||||
| International Laboratory Limited | 美国 | 询价快递 | ||
|---|---|---|---|---|
![]() |
+1 (650) 278-9963 | |||
![]() |
admin@intlab.org | |||
| 化学品生产商(2002 年起) | ||||
| Ryan Scientific, Inc. | 美国 | 询价快递 | ||
|---|---|---|---|---|
![]() |
+1 (843)-884-4911 | |||
![]() |
sales@ryansci.com | |||
| 化学品生产商 | ||||
| Santa Cruz Biotechnology, Inc. | 美国 | 询价快递 | ||
|---|---|---|---|---|
![]() |
+1 (831) 457-3800 | |||
![]() |
scbt@scbt.com | |||
| 化学品生产商 | ||||
| Sigma-Aldrich, Inc. | 美国 | 询价快递 | ||
|---|---|---|---|---|
![]() |
+86 (21) 6141-5566 / 800-819-3336 | |||
![]() |
ordercn@sial.com, | |||
| 化学品生产商(1992 年起) | ||||
| TimTec | 美国 | 询价快递 | ||
|---|---|---|---|---|
![]() |
+1 (302) 292-8500 | |||
![]() |
info@timtec.com | |||
| 化学品生产商 | ||||
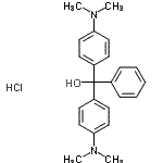
| 产品名称 | 二[4-(二甲基氨基)苯基](苯基)甲醇盐酸盐(1:1) |
|---|---|
| 英文名 | Bis[4-(Dimethylamino)Phenyl](Phenyl)Methanol Hydrochloride (1:1) |
| 别名 | Basic Green 4; bis[4-(dimethylamino)phenyl]phenylmethan-1-ol, chloride; MALACHITE GREEN CARBINOL HYDROCHLORIDE |
| 分子结构 | ![]() |
| 分子式 | C23H27ClN2O |
| 分子量 | 382.93 |
| CAS 登录号 | 123333-61-9 |
| 分子行输入简码 SMILES | Cl.OC(c1ccc(N(C)C)cc1)(c2ccccc2)c3ccc(N(C)C)cc3 |
| 国际化学标识码 InChI | 1S/C23H26N2O.ClH/c1-24(2)21-14-10-19(11-15-21)23(26,18-8-6-5-7-9-18)20-12-16-22(17-13-20)25(3)4;/h5-17,26H,1-4H3;1H |
| 国际化学标识检索码 InChIKey | MJRWALOBODKCCZ-UHFFFAOYSA-N |
| 沸点 | 549.4°C at 760 mmHg (计算值) |
|---|---|
| 闪点 | 286°C (计算值) |
| 折射率 | (计算值) |
| SDS | 化学品安全技术说明书参考文本 |
|---|---|
| 市场分析报告 |
| 请浏览二[4-(二甲基氨基)苯基](苯基)甲醇盐酸盐(1:1)市场分析报告总目录 |