Online Database of Chemicals from Around the World

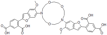
4-[6-[13-[2-(2,4-二羧基苯基)-5-甲氧基-1-苯并呋喃-6-基]-1,4,10-三氧杂-7,13-二氮杂环十五碳-7-基]-5-甲氧基-1-苯并呋喃-2-基]苯-1,3-二甲酸
[CAS# 124549-08-2]

供应商
CAS#: 124549-08-2
产品: 4-[6-[13-[2-(2,4-二羧基苯基)-5-甲氧基-1-苯并呋喃-6-基]-1,4,10-三氧杂-7,13-二氮杂环十五碳-7-基]-5-甲氧基-1-苯并呋喃-2-基]苯-1,3-二甲酸
暂时没有厂家供应该产品。
基本信息
产品名称 4-[6-[13-[2-(2,4-二羧基苯基)-5-甲氧基-1-苯并呋喃-6-基]-1,4,10-三氧杂-7,13-二氮杂环十五碳-7-基]-5-甲氧基-1-苯并呋喃-2-基]苯-1,3-二甲酸
英文名 4-[6-[13-[2-(2,4-Dicarboxyphenyl)-5-Methoxy-1-Benzofuran-6-Yl]-1,4,10-Trioxa-7,13-Diazacyclopentadec-7-Yl]-5-Methoxy-1-Benzofuran-2-Yl]Benzene-1,3-Dicarboxylic Acid
别名 4-[6-[13-[2-(2,4-Dicarboxyphenyl)-5-Methoxy-Benzofuran-6-Yl]-1,4,10-Trioxa-7,13-Diazacyclopentadec-7-Yl]-5-Methoxy-Benzofuran-2-Yl]Benzene-1,3-Dicarboxylic Acid; 4-[6-[13-[2-(2,4-Dicarboxyphenyl)-5-Methoxy-6-Benzofuranyl]-1,4,10-Trioxa-7,13-Diazacyclopentadec-7-Yl]-5-Methoxy-2-Benzofuranyl]Benzene-1,3-Dicarboxylic Acid; 4-[6-[13-[2-(2,4-Dicarboxyphenyl)-5-Methoxy-Benzofuran-6-Yl]-1,4,10-Trioxa-7,13-Diazacyclopentadec-7-Yl]-5-Methoxy-Benzofuran-2-Yl]Isophthalic Acid
分子结构 CAS 登录号:124549-08-2, 4-[6-[13-[2-(2,4-二羧基苯基)-5-甲氧基-1-苯并呋喃-6-基]-1,4,10-三氧杂-7,13-二氮杂环十五碳-7-基]-5-甲氧基-1-苯并呋喃-2-基]苯-1,3-二甲酸
分子式 C44H42N2O15
分子量 838.82
CAS 登录号 124549-08-2
分子行输入简码 SMILES C2=C(C1=C(C=C(C(O)=O)C=C1)C(O)=O)OC3=C2C=C(OC)C(=C3)N7CCOCCN(C4=CC5=C(C=C4OC)C=C(O5)C6=C(C=C(C(O)=O)C=C6)C(O)=O)CCOCCOCC7
国际化学标识码 InChI 1S/C44H42N2O15/c1-55-39-21-27-19-37(29-5-3-25(41(47)48)17-31(29)43(51)52)60-35(27)23-33(39)45-7-11-57-12-8-46(10-14-59-16-15-58-13-9-45)34-24-36-28(22-40(34)56-2)20-38(61-36)30-6-4-26(42(49)50)18-32(30)44(53)54/h3-6,17-24H,7-16H2,1-2H3,(H,47,48)(H,49,50)(H,51,52)(H,53,54)
国际化学标识检索码 InChIKey UGJCNRLBGKEGEH-UHFFFAOYSA-N
物理化学性质
密度 1.37g/cm3 (计算值)
沸点 1034.069°C at 760 mmHg (计算值)
闪点 579.184°C (计算值)
市场分析报告
请浏览4-[6-[13-[2-(2,4-二羧基苯基)-5-甲氧基-1-苯并呋喃-6-基]-1,4,10-三氧杂-7,13-二氮杂环十五碳-7-基]-5-甲氧基-1-苯并呋喃-2-基]苯-1,3-二甲酸市场分析报告总目录
相关产品
3-((1,3-二氢-1,3-二氧代-2H-茚-2...  (Z)-1-[[4-[2-[[4-氰基-4-(3,...  1-(2,2-二氯环丙基)-4-丙-2-基氧基苯  (5Z)-N-(3,5-二氯-4-羟基苯基)-5-...  氯(1,2-环己烷二胺)((甲基亚磺酰)苯)铂(I...  (1aS-(1aalpha,8beta,8aalp...  甲基砷酸  1-(2-氯苯基)-N-[[4-[(2-氯苯基)甲...  2-羟基-5-甲氧基-3-[(E)-3-甲基-5-...  (8S,9S,10S,13R,14S,17S)-1...  3-(8-碘-5,6-二氢苯并[b][1]苯并氮杂...  6-[(2-甲基丙烷-2-基)氧基羰基氨基]-5-...  甲基氨基丙氨酸-镍(II)  铜(2S)-2-(2-甲基肼基)丙酸酯  锌(2S)-2-(2-甲基肼基)丙酸酯