Online Database of Chemicals from Around the World

Polyphemusin I
[CAS# 125139-67-5]

Suppliers
CAS#: 125139-67-5
Product: Polyphemusin I
No suppilers available for the product.
Identification
Name Polyphemusin I
Synonyms Tachyplesin I, 1-(N2-L-Arginyl-L-Arginine)-11-L-Phenylalanine-15-L-Lysine-
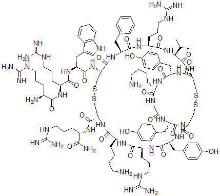
Molecular Structure CAS#: 125139-67-5, Polyphemusin I
Molecular Formula C108H161N37O21S4
Molecular Weight 2441.94
CAS Registry Number 125139-67-5
SMILES [C@@H]6(C(=O)N[C@H](C(N[C@@H](CSSC[C@H](NC([C@H](CC1=C[NH]C2=C1C=CC=C2)NC([C@@H](NC([C@H](CCCNC(N)=N)N)=O)CCCNC(N)=N)=O)=O)C(=O)N[C@@H](CC3=CC=CC=C3)C(N[C@H](C(N[C@H](C(=O)N[C@@H]5C(N[C@@H](CC4=CC=C(C=C4)O)C(=O)N[C@H](C(NCC(=O)N[C@H](C(=O)N[C@@H](CSSC5)C(N[C@H](C(N6)=O)CC7=CC=C(C=C7)O)=O)CC8=CC=C(C=C8)O)=O)CCCCN)=O)C(C)C)=O)CCCNC(N)=N)=O)C(=O)N[C@@H](CCCNC(N)=N)C(N)=O)=O)CCCCN)CCCNC(N)=N
InChI 1S/C108H161N37O21S4/c1-58(2)86-103(166)144-84-57-170-169-55-82(142-94(157)76(48-60-28-34-64(146)35-29-60)130-85(149)53-129-89(152)71(22-8-10-40-109)133-95(158)78(139-102(84)165)49-61-30-36-65(147)37-31-61)100(163)138-79(50-62-32-38-66(148)39-33-62)97(160)135-74(26-15-45-126-107(119)120)90(153)134-72(23-9-11-41-110)92(155)141-81(99(162)131-70(87(112)150)24-13-43-124-105(115)116)54-167-168-56-83(101(164)137-77(47-59-17-4-3-5-18-59)96(159)136-75(93(156)145-86)27-16-46-127-108(121)122)143-98(161)80(51-63-52-128-69-21-7-6-19-67(63)69)140-91(154)73(25-14-44-125-106(117)118)132-88(151)68(111)20-12-42-123-104(113)114/h3-7,17-19,21,28-39,52,58,68,70-84,86,128,146-148H,8-16,20,22-27,40-51,53-57,109-111H2,1-2H3,(H2,112,150)(H,129,152)(H,130,149)(H,131,162)(H,132,151)(H,133,158)(H,134,153)(H,135,160)(H,136,159)(H,137,164)(H,138,163)(H,139,165)(H,140,154)(H,141,155)(H,142,157)(H,143,161)(H,144,166)(H,145,156)(H4,113,114,123)(H4,115,116,124)(H4,117,118,125)(H4,119,120,126)(H4,121,122,127)/t68-,70-,71-,72-,73-,74-,75-,76-,77-,78-,79-,80-,81-,82-,83-,84-,86-/m0/s1
InChIKey KTOJPCYXPSDVQC-HLICZWCASA-N
Market Analysis Reports
List of Reports Available for Polyphemusin I
Related Products
Polyphemusin II  Tachyplesin II  5-Chloro-N-[2-[(4-Iodophenyl)Methyl-Meth...  1-Amino-3-(3-Aminopropylamino)Propan-2-O...  (E)-Non-3-Ene  5,5-Dimethyl-2-(2-nitrophenyl)amino-1,3,...  5-[3-Cyano-6-[2-(2-Ethoxyphenoxy)Ethylam...  5-[3-Cyano-6-[2-(5-Fluoro-2-Methoxypheno...  4,5,11-Trimethylquinolino[2,3-b]Indole  [(3aR,5R,6S,6aR)-5-[(1R)-1,2-Dihydroxyet...  [(2R)-2-[(3aR,5R,6S,6aR)-6-Hydroxy-2,2-D...  2-(4-Aminobutyl)Propane-1,3-Diol  (2R,3R,4S,5R)-2-[6-[3-[[3-Hydroxy-5-(Hyd...  2-Dimethylamino-5-Phenyldiazenylbenzenes...  2-(4-Dimethylaminophenyl)Diazenylbenzene...