Online Database of Chemicals from Around the World

叔丁基氧羰基-缬氨酰-丙氨酰-亮氨酰-2-氨基异丁酰基-缬氨酰-丙氨酰-亮氨酰甲基酯
[CAS# 127337-62-6]

供应商
CAS#: 127337-62-6
产品: 叔丁基氧羰基-缬氨酰-丙氨酰-亮氨酰-2-氨基异丁酰基-缬氨酰-丙氨酰-亮氨酰甲基酯
暂时没有厂家供应该产品。
基本信息
产品名称 叔丁基氧羰基-缬氨酰-丙氨酰-亮氨酰-2-氨基异丁酰基-缬氨酰-丙氨酰-亮氨酰甲基酯
英文名 Tert-Butyloxycarbonyl-Valyl-Alanyl-Leucyl-2-Aminoisobutyryl-Valyl-Alanyl-Leucyl Methyl Ester
别名 Methyl (2S)-2-[[(2S)-2-[[(2S)-2-[[2-[[(2S)-2-[[(2S)-2-[[(2S)-2-(Tert-Butoxycarbonylamino)-3-Methyl-Butanoyl]Amino]Propanoyl]Amino]-4-Methyl-Pentanoyl]Amino]-2-Methyl-Propanoyl]Amino]-3-Methyl-Butanoyl]Amino]Propanoyl]Amino]-4-Methyl-Pentanoate Hydrate; (2S)-2-[[(2S)-2-[[(2S)-2-[[2-[[(2S)-2-[[(2S)-2-[[(2S)-2-[(Tert-Butoxy-Oxomethyl)Amino]-3-Methyl-1-Oxobutyl]Amino]-1-Oxopropyl]Amino]-4-Methyl-1-Oxopentyl]Amino]-2-Methyl-1-Oxopropyl]Amino]-3-Methyl-1-Oxobutyl]Amino]-1-Oxopropyl]Amino]-4-Methylpentanoic Acid Methyl Ester Hydrate; (2S)-2-[[(2S)-2-[[(2S)-2-[[2-[[(2S)-2-[[(2S)-2-[[(2S)-2-(Tert-Butoxycarbonylamino)-3-Methyl-Butanoyl]Amino]Propanoyl]Amino]-4-Methyl-Pentanoyl]Amino]-2-Methyl-Propanoyl]Amino]-3-Methyl-Butanoyl]Amino]Propanoyl]Amino]-4-Methyl-Valeric Acid Methyl Ester Hydrate
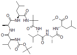
分子结构 CAS 登录号:127337-62-6, 叔丁基氧羰基-缬氨酰-丙氨酰-亮氨酰-2-氨基异丁酰基-缬氨酰-丙氨酰-亮氨酰甲基酯
分子式 C76H140N14O21
分子量 1586.02
CAS 登录号 127337-62-6
分子行输入简码 SMILES [C@H](C(=O)OC)(NC([C@@H](NC([C@@H](NC(C(NC([C@@H](NC([C@@H](NC([C@@H](NC(=O)OC(C)(C)C)C(C)C)=O)C)=O)CC(C)C)=O)(C)C)=O)C(C)C)=O)C)=O)CC(C)C.[C@H](C(=O)OC)(NC([C@@H](NC([C@@H](NC(C(NC([C@@H](NC([C@@H](NC([C@@H](NC(=O)OC(C)(C)C)C(C)C)=O)C)=O)CC(C)C)=O)(C)C)=O)C(C)C)=O)C)=O)CC(C)C.O
国际化学标识码 InChI 1S/2C38H69N7O10.H2O/c2*1-19(2)17-25(41-29(46)23(9)40-33(50)28(22(7)8)44-36(53)55-37(11,12)13)31(48)45-38(14,15)35(52)43-27(21(5)6)32(49)39-24(10)30(47)42-26(18-20(3)4)34(51)54-16;/h2*19-28H,17-18H2,1-16H3,(H,39,49)(H,40,50)(H,41,46)(H,42,47)(H,43,52)(H,44,53)(H,45,48);1H2/t2*23-,24-,25-,26-,27-,28-;/m00./s1
国际化学标识检索码 InChIKey BWRPOTMYGIJREE-GDIQTHMSSA-N
物理化学性质
沸点 1001.9°C at 760 mmHg (计算值)
闪点 559.7°C (计算值)
市场分析报告
请浏览叔丁基氧羰基-缬氨酰-丙氨酰-亮氨酰-2-氨基异丁酰基-缬氨酰-丙氨酰-亮氨酰甲基酯市场分析报告总目录
相关产品
3-羟基甲基-2-甲基咪唑并(2,1-b)苯并噻唑  1,2,3,4,5,6-六氢-6,11-二甲基-3...  6-氨基硫马唑  4-甲氧基伊索马唑  叔丁基氧羰基-缬氨酰-丙氨酰-亮氨酰-2-氨基异丁...  (1,4a-二甲基-7-丙-2-基-2,3,4,4...  三乙酰氧基锑氧化物  4-(4-吗啉基)-6-丙基-1,3,5-三嗪-2...  2-(羟基甲基)-2-((4-(4-吗啉基)-6-...  2-甲基-2-((4-(4-吗啉基)-6-丙基-1...  2-[苄基-(4-吗啉-4-基-6-丙基-1,3,...  3,4-二甲基-N-(4-吗啉-4-基-6-丙基-...  2-(巯基甲基)-4-甲基戊酸  N6-(2,4-二硝基苯基)-N2-(1-(N-(...  3,3',5,5'-四氯联苯