基本信息
| 产品名称 |
谷氨酰-gamma-酰肼(4)-缩宫素 |
| 英文名 |
glutamyl-gamma-hydrazide(4)-Oxytocin |
| 别名 |
(2S)-1-[(4R,7S,10S,16S,19R)-19-Amino-7-(2-Amino-2-Oxo-Ethyl)-10-(3-Hydrazino-3-Oxo-Propyl)-16-[(4-Hydroxyphenyl)Methyl]-6,9,12,15,18-Pentaoxo-13-Sec-Butyl-1,2-Dithia-5,8,11,14,17-Pentazacycloicosane-4-Carbonyl]-N-[(1S)-1-[(2-Amino-2-Oxo-Ethyl)Carbamoyl]-3-Methyl-Butyl]Pyrrolidine-2-Carboxamide; (2S)-1-[[(4R,7S,10S,16S,19R)-19-Amino-7-(2-Amino-2-Oxoethyl)-10-(3-Hydrazino-3-Oxopropyl)-16-[(4-Hydroxyphenyl)Methyl]-6,9,12,15,18-Pentaoxo-13-Sec-Butyl-1,2-Dithia-5,8,11,14,17-Pentazacycloicos-4-Yl]-Oxomethyl]-N-[(1S)-1-[[(2-Amino-2-Oxoethyl)Amino]-Oxomethyl]-3-Methylbutyl]-2-Pyrrolidinecarboxamide; (2S)-1-[(4R,7S,10S,16S,19R)-19-Amino-7-(2-Amino-2-Keto-Ethyl)-10-(3-Hydrazino-3-Keto-Propyl)-16-(4-Hydroxybenzyl)-6,9,12,15,18-Pentaketo-13-Sec-Butyl-1,2-Dithia-5,8,11,14,17-Pentazacycloicosane-4-Carbonyl]-N-[(1S)-1-[(2-Amino-2-Keto-Ethyl)Carbamoyl]-3-Methyl-Butyl]Pyrrolidine-2-Carboxamide |
|
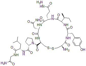
| 分子结构 |
 |
| 分子式 |
C43H67N13O12S2 |
| 分子量 |
1022.20 |
| CAS 登录号 |
127716-65-8 |
| 分子行输入简码 SMILES |
[C@@H]3(N(C(=O)[C@H]1NC(=O)[C@@H](NC(=O)[C@@H](NC(=O)C(NC(=O)[C@@H](NC(=O)[C@@H](N)CSSC1)CC2=CC=C(O)C=C2)[C@H](CC)C)CCC(=O)NN)CC(=O)N)CCC3)C(=O)N[C@H](C(=O)NCC(=O)N)CC(C)C |
| 国际化学标识码 InChI |
1S/C43H67N13O12S2/c1-5-22(4)35-42(67)49-26(12-13-34(60)55-47)38(63)51-29(17-32(45)58)39(64)53-30(20-70-69-19-25(44)36(61)50-28(40(65)54-35)16-23-8-10-24(57)11-9-23)43(68)56-14-6-7-31(56)41(66)52-27(15-21(2)3)37(62)48-18-33(46)59/h8-11,21-22,25-31,35,57H,5-7,12-20,44,47H2,1-4H3,(H2,45,58)(H2,46,59)(H,48,62)(H,49,67)(H,50,61)(H,51,63)(H,52,66)(H,53,64)(H,54,65)(H,55,60)/t22-,25-,26-,27-,28-,29-,30-,31-,35?/m0/s1 |
| 国际化学标识检索码 InChIKey |
UCIVOSQJEMZBTM-OMTOYRQASA-N |
|