Online Database of Chemicals from Around the World

4-Glutamic acid-gamma-hydrazide-8-lysine vasopressin
[CAS# 127716-66-9]

Suppliers
CAS#: 127716-66-9
Product: 4-Glutamic acid-gamma-hydrazide-8-lysine vasopressin
No suppilers available for the product.
Identification
Name 4-Glutamic acid-gamma-hydrazide-8-lysine vasopressin
Synonyms N-[(1S)-5-Amino-1-[(2-Amino-2-Oxo-Ethyl)Carbamoyl]Pentyl]-1-[(4R,7S,10S,13S,16S,19R)-19-Amino-7-(2-Amino-2-Oxo-Ethyl)-10-(3-Hydrazino-3-Oxo-Propyl)-16-[(4-Hydroxyphenyl)Methyl]-6,9,12,15,18-Pentaoxo-13-(Phenylmethyl)1,2-Dithia-5,8,11,14,17-Pentazacycloicosane-4-Carbonyl]Pyrrolidine-2-Carboxamide; N-[(1S)-5-Amino-1-[[(2-Amino-2-Oxoethyl)Amino]-Oxomethyl]Pentyl]-1-[[(4R,7S,10S,13S,16S,19R)-19-Amino-7-(2-Amino-2-Oxoethyl)-10-(3-Hydrazino-3-Oxopropyl)-16-[(4-Hydroxyphenyl)Methyl]-6,9,12,15,18-Pentaoxo-13-(Phenylmethyl)-1,2-Dithia-5,8,11,14,17-Pentazacycloicos-4-Yl]-Oxomethyl]-2-Pyrrolidinecarboxamide; 1-[(4R,7S,10S,13S,16S,19R)-19-Amino-7-(2-Amino-2-Keto-Ethyl)-13-(Benzyl)-10-(3-Hydrazino-3-Keto-Propyl)-16-(4-Hydroxybenzyl)-6,9,12,15,18-Pentaketo-1,2-Dithia-5,8,11,14,17-Pentazacycloicosane-4-Carbonyl]-N-[(1S)-5-Amino-1-[(2-Amino-2-Keto-Ethyl)Carbamoyl]Pentyl]Pyrrolidine-2-Carboxamide
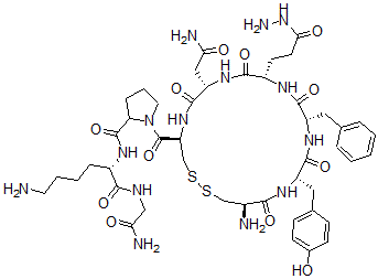
Molecular Structure CAS#: 127716-66-9, 4-Glutamic acid-gamma-hydrazide-8-lysine vasopressin
Molecular Formula C46H66N14O12S2
Molecular Weight 1071.23
CAS Registry Number 127716-66-9
SMILES [C@H]1(NC(=O)[C@@H](NC(=O)[C@@H](N)CSSC[C@H](NC(=O)[C@@H](NC(=O)[C@@H](NC1=O)CCC(=O)NN)CC(=O)N)C(=O)N2C(C(=O)N[C@H](C(=O)NCC(=O)N)CCCCN)CCC2)CC3=CC=C(O)C=C3)CC4=CC=CC=C4
InChI 1S/C46H66N14O12S2/c47-17-5-4-9-29(40(66)52-22-37(50)63)54-45(71)35-10-6-18-60(35)46(72)34-24-74-73-23-28(48)39(65)55-31(20-26-11-13-27(61)14-12-26)43(69)56-32(19-25-7-2-1-3-8-25)42(68)53-30(15-16-38(64)59-51)41(67)57-33(21-36(49)62)44(70)58-34/h1-3,7-8,11-14,28-35,61H,4-6,9-10,15-24,47-48,51H2,(H2,49,62)(H2,50,63)(H,52,66)(H,53,68)(H,54,71)(H,55,65)(H,56,69)(H,57,67)(H,58,70)(H,59,64)/t28-,29-,30-,31-,32-,33-,34-,35?/m0/s1
InChIKey ZQJHNBJUEWMFHE-LOJWWCGESA-N
Market Analysis Reports
List of Reports Available for 4-Glutamic acid-gamma-hydrazide-8-lysine vasopressin
Related Products
3-[[(E)-(2-hydroxy-4-oxo-1-cyclohexa-2,5...  Pentaerythritol oleate  Methyl 4-Benzyloxy-2-Hydroxy-3-Iodo-6-Me...  Lithium carmine  N-[4-(Pyrimidin-2-Ylsulfamoyl)Phenyl]Ace...  Biotinyl-Tryptophyl-Leucyl-beta-Alanine  N-[4-[(6-Methoxypyridazin-3-Yl)Sulfamoyl...  Cyclic-1-(3-Hydroxy-2-Phosphonylmethoxyp...  11-Deoxy-4,4-Dimethyl-4-Silaprostaglandi...  Methyl 4-Hydroxy-5-Iodo-2,3-Dimethoxy-6-...  N(alpha)-Dinitrofluorobenzyl-Hirudin (54...  N-[4-(1,3-Thiazol-2-Ylsulfamoyl)Phenyl]A...  Sodium 4-[[(3-Chloro-1,2,4-Benzotriazin-...  oxoarsenic  Bactoprenol