基本信息
| 产品名称 |
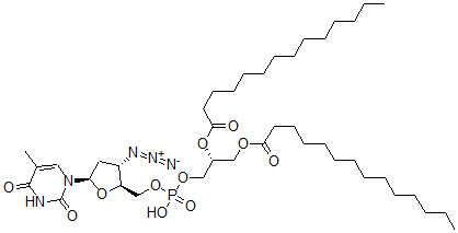
[(2R)-3-[[(2S,3S,5R)-3-叠氮基-5-(5-甲基-2,4-二氧代嘧啶-1-基)四氢呋喃-2-基]甲氧基-羟基磷酰]氧基-2-十四烷酰氧基丙基]十四烷酸酯 |
| 英文名 |
[(2R)-3-[[(2S,3S,5R)-3-Azido-5-(5-Methyl-2,4-Dioxopyrimidin-1-Yl)Oxolan-2-Yl]Methoxy-Hydroxyphosphoryl]Oxy-2-Tetradecanoyloxypropyl] Tetradecanoate |
| 别名 |
[(2R)-3-[[(2S,3S,5R)-3-Azido-5-(5-Methyl-2,4-Dioxo-Pyrimidin-1-Yl)Tetrahydrofuran-2-Yl]Methoxy-Hydroxy-Phosphoryl]Oxy-2-Tetradecanoyloxy-Propyl] Tetradecanoate; Tetradecanoic Acid [(2R)-3-[[(2S,3S,5R)-3-Azido-5-(5-Methyl-2,4-Dioxo-1-Pyrimidinyl)-2-Tetrahydrofuranyl]Methoxy-Hydroxyphosphoryl]Oxy-2-(1-Oxotetradecoxy)Propyl] Ester; Myristic Acid [(2R)-3-[[(2S,3S,5R)-3-Azido-5-(2,4-Diketo-5-Methyl-Pyrimidin-1-Yl)Tetrahydrofuran-2-Yl]Methoxy-Hydroxy-Phosphoryl]Oxy-2-Tetradecanoyloxy-Propyl] Ester |
|
| 分子结构 |
![CAS 登录号:128008-46-8, [(2R)-3-[[(2S,3S,5R)-3-叠氮基-5-(5-甲基-2,4-二氧代嘧啶-1-基)四氢呋喃-2-基]甲氧基-羟基磷酰]氧基-2-十四烷酰氧基丙基]十四烷酸酯](/moreStructures/128008-46-8.gif) |
| 分子式 |
C41H72N5O11P |
| 分子量 |
842.02 |
| CAS 登录号 |
128008-46-8 |
| 分子行输入简码 SMILES |
[N+](=N[C@@H]2[C@H](O[C@@H](N1C(=O)NC(=O)C(=C1)C)C2)CO[P](OC[C@H](OC(=O)CCCCCCCCCCCCC)COC(=O)CCCCCCCCCCCCC)(=O)O)=[N-] |
| 国际化学标识码 InChI |
1S/C41H72N5O11P/c1-4-6-8-10-12-14-16-18-20-22-24-26-38(47)53-30-34(56-39(48)27-25-23-21-19-17-15-13-11-9-7-5-2)31-54-58(51,52)55-32-36-35(44-45-42)28-37(57-36)46-29-33(3)40(49)43-41(46)50/h29,34-37H,4-28,30-32H2,1-3H3,(H,51,52)(H,43,49,50)/t34-,35+,36-,37-/m1/s1 |
| 国际化学标识检索码 InChIKey |
HBHJTJKGFOGKMG-LADGJGSJSA-N |
|