Identification
| Name |
2-Oxo-6-Dehydroxyneoanisatin |
| Synonyms |
2-Oxo-6-Dehydroxyneoanisatin Deriv.; Spiro(6H-4,9A-Methanocyclopent(D)Oxocin-6,3'-Oxetane)-2,2'8(1H,9H)-Trione, Tetrahydro-1,6A-Dihydroxy-5,9-Dimethyl-, (1R-(1-Alpha,4-Beta,5-Alpha,6-Beta,6A-Beta,9-Alpha,9A-Beta))- |
|
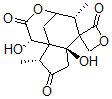
| Molecular Structure |
 |
| Molecular Formula |
C15H18O7 |
| Molecular Weight |
310.30 |
| CAS Registry Number |
128129-58-8 |
| SMILES |
[C@@H]1(C(O[C@@H]3[C@@H](C4([C@]2(C1([C@H](C(C2)=O)C)C3)O)C(OC4)=O)C)=O)O |
| InChI |
1S/C15H18O7/c1-6-8(16)3-15(20)13(6)4-9(22-11(18)10(13)17)7(2)14(15)5-21-12(14)19/h6-7,9-10,17,20H,3-5H2,1-2H3/t6-,7-,9-,10-,13?,14?,15-/m0/s1 |
| InChIKey |
PKSKJUUWVGTFQJ-YLJFTQHESA-N |
|