Online Database of Chemicals from Around the World

甲基脱镁叶绿酸酯-alpha-(己基-醚)
[CAS# 128146-77-0]

供应商
CAS#: 128146-77-0
产品: 甲基脱镁叶绿酸酯-alpha-(己基-醚)
暂时没有厂家供应该产品。
基本信息
产品名称 甲基脱镁叶绿酸酯-alpha-(己基-醚)
英文名 Methylpheophorbide-alpha-(Hexyl-Ether)
别名 Mp-A-6E; Methyl 14-Ethyl-9-(1-(Hexyloxy)Ethyl)-21-(Methoxycarbonyl)-4,8,13,18-Tetramethyl-20-Oxo-3-Phorbinepropanoate; Methylpheophorbide-A-(Hexyl-Ether)
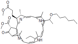
分子结构 CAS 登录号:128146-77-0, 甲基脱镁叶绿酸酯-alpha-(己基-醚)
分子式 C42H52N4O6
分子量 708.90
CAS 登录号 128146-77-0
分子行输入简码 SMILES [C@@H]2([C@@H](C3=CC1=C(C(=C([NH]1)C=C6[NH]C(=CC5=NC4=C(C2=N3)[C@H](C(=O)C4=C5C)C(OC)=O)C(=C6C)CC)C(OCCCCCC)C)C)C)CCC(OC)=O
国际化学标识码 InChI 1S/C42H52N4O6/c1-10-12-13-14-17-52-25(7)35-23(5)30-18-29-22(4)27(15-16-34(47)50-8)39(45-29)37-38(42(49)51-9)41(48)36-24(6)31(46-40(36)37)19-32-26(11-2)21(3)28(43-32)20-33(35)44-30/h18-20,22,25,27,38,43-44H,10-17H2,1-9H3/t22-,25?,27-,38+/m0/s1
国际化学标识检索码 InChIKey YSXJXWCZRCXKHU-RAECGGCMSA-N
物理化学性质
密度 1.186g/cm3 (计算值)
沸点 944.213°C at 760 mmHg (计算值)
闪点 524.841°C (计算值)
市场分析报告
请浏览甲基脱镁叶绿酸酯-alpha-(己基-醚)市场分析报告总目录
相关产品
18-冠醚-6-四羧基双二氨基铂(II)  5-Iodobenzovesamicol  6-O-(3-乙氧基丙酰基)-3',4'-O-外-...  1-(2-氯乙基)-1-(2-羟基乙基)-3-亚硝...  N,N,N',N'-四甲基乙二胺锇四氧化物  他莫利嗪  6-羟基-1-甲基-10-((6-脱氧-2-O-(...  甲基环戊二烯基钛三氯化物  雷索司特  (3beta,5alpha,25R)-螺甾烷-3-...  3beta-O-(beta-吡喃木糖基(1-2),...  7-(2-(2-氨噻唑-4-基)-2-(1-羧基-...  2-氨基-3-膦酰丙酸  1-碘-2-异氰酸苯  (2S,3S,4R,5R,6S)-3-[(Z)-1...