Online Database of Chemicals from Around the World

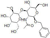
N-[(2R,3R,4R,5S,6R)-4-[(2R,3R,4S,5R,6R)-4,5-二羟基-6-(羟基甲基)-3-甲氧基四氢吡喃-2-基]氧基-5-羟基-6-(羟基甲基)-2-(苯基甲氧基)四氢吡喃-3-基]乙酰胺
[CAS# 128292-63-7]

供应商
CAS#: 128292-63-7
产品: N-[(2R,3R,4R,5S,6R)-4-[(2R,3R,4S,5R,6R)-4,5-二羟基-6-(羟基甲基)-3-甲氧基四氢吡喃-2-基]氧基-5-羟基-6-(羟基甲基)-2-(苯基甲氧基)四氢吡喃-3-基]乙酰胺
暂时没有厂家供应该产品。
基本信息
产品名称 N-[(2R,3R,4R,5S,6R)-4-[(2R,3R,4S,5R,6R)-4,5-二羟基-6-(羟基甲基)-3-甲氧基四氢吡喃-2-基]氧基-5-羟基-6-(羟基甲基)-2-(苯基甲氧基)四氢吡喃-3-基]乙酰胺
英文名 N-[(2R,3R,4R,5S,6R)-4-[(2R,3R,4S,5R,6R)-4,5-Dihydroxy-6-(Hydroxymethyl)-3-Methoxyoxan-2-Yl]Oxy-5-Hydroxy-6-(Hydroxymethyl)-2-(Phenylmethoxy)Oxan-3-Yl]Acetamide
别名 N-[(2R,3R,4R,5S,6R)-4-[(2R,3R,4S,5R,6R)-4,5-Dihydroxy-6-(Hydroxymethyl)-3-Methoxy-Tetrahydropyran-2-Yl]Oxy-5-Hydroxy-6-(Hydroxymethyl)-2-(Phenylmethoxy)Tetrahydropyran-3-Yl]Acetamide; N-[(2R,3R,4R,5S,6R)-4-[[(2R,3R,4S,5R,6R)-4,5-Dihydroxy-6-(Hydroxymethyl)-3-Methoxy-2-Tetrahydropyranyl]Oxy]-5-Hydroxy-6-(Hydroxymethyl)-2-(Phenylmethoxy)-3-Tetrahydropyranyl]Acetamide; N-[(2R,3R,4R,5S,6R)-2-(Benzyloxy)-4-[(2R,3R,4S,5R,6R)-4,5-Dihydroxy-3-Methoxy-6-Methylol-Tetrahydropyran-2-Yl]Oxy-5-Hydroxy-6-Methylol-Tetrahydropyran-3-Yl]Acetamide
分子结构 CAS 登录号:128292-63-7, N-[(2R,3R,4R,5S,6R)-4-[(2R,3R,4S,5R,6R)-4,5-二羟基-6-(羟基甲基)-3-甲氧基四氢吡喃-2-基]氧基-5-羟基-6-(羟基甲基)-2-(苯基甲氧基)四氢吡喃-3-基]乙酰胺
分子式 C22H33NO11
分子量 487.50
CAS 登录号 128292-63-7
分子行输入简码 SMILES [C@@H]1(O[C@H]([C@@H]([C@H]([C@@H]1O)O[C@@H]2O[C@@H]([C@@H]([C@@H]([C@H]2OC)O)O)CO)NC(=O)C)OCC3=CC=CC=C3)CO
国际化学标识码 InChI 1S/C22H33NO11/c1-11(26)23-15-19(34-22-20(30-2)18(29)16(27)13(8-24)33-22)17(28)14(9-25)32-21(15)31-10-12-6-4-3-5-7-12/h3-7,13-22,24-25,27-29H,8-10H2,1-2H3,(H,23,26)/t13-,14-,15-,16+,17-,18+,19-,20-,21-,22+/m1/s1
国际化学标识检索码 InChIKey QRWGFRUDUVXHOQ-OEUZHLKXSA-N
物理化学性质
密度 1.428g/cm3 (计算值)
沸点 778.141°C at 760 mmHg (计算值)
闪点 424.405°C (计算值)
市场分析报告
请浏览N-[(2R,3R,4R,5S,6R)-4-[(2R,3R,4S,5R,6R)-4,5-二羟基-6-(羟基甲基)-3-甲氧基四氢吡喃-2-基]氧基-5-羟基-6-(羟基甲基)-2-(苯基甲氧基)四氢吡喃-3-基]乙酰胺市场分析报告总目录
相关产品
(2R,4R,4aR,6aR,6aS,6bR,10...  2-氨基-9-[5-[[[5-(4-氨基-2-氧代...  (1R,3S,5E)-5-[(2E)-2-[(1R...  2-[二[2-[羧甲基-(2-甲基氨基-2-氧代乙...  (3S,5S,10S,13R,14R,17R)-1...  4,5-二羟基-1-(羟基甲基)蒽-9,10-二酮  (E)-2-氨基-3,4,14-三羟基-2-(羟基...  (2,3-二甲氧基苯基)甲基-(苯基甲基)铵  二氨基氯(谷胱甘肽-S)铂(II)  3-[羟基-(3-甲基丁基氨基)亚甲基]-1H-喹...  2-甲硫基-6,7-二氢-5H-吡咯并[1,2-a...  N-[(E)-1-[3,4-二羟基-5-[5-羟基...  6-甲基-6,11-二氢-11-((N,N-二甲基...  2-[[(2R)-2-[(2-溴乙酰基)氨基]-4...  7-羟基-2-甲基-5-[(2S,3R,4S,5S...