Online Database of Chemicals from Around the World

(2R,4S,5R,6R)-5-乙酰氨基-4-氘氧基-2-甲氧基-6-[(1R,2R)-1,2,3-三(氘羟基)丙基]四氢吡喃-2-羧酸
[CAS# 128643-78-7]

供应商
CAS#: 128643-78-7
产品: (2R,4S,5R,6R)-5-乙酰氨基-4-氘氧基-2-甲氧基-6-[(1R,2R)-1,2,3-三(氘羟基)丙基]四氢吡喃-2-羧酸
暂时没有厂家供应该产品。
基本信息
产品名称 (2R,4S,5R,6R)-5-乙酰氨基-4-氘氧基-2-甲氧基-6-[(1R,2R)-1,2,3-三(氘羟基)丙基]四氢吡喃-2-羧酸
英文名 (2R,4S,5R,6R)-5-Acetamido-4-Deuteriooxy-2-Methoxy-6-[(1R,2R)-1,2,3-Trideuteriooxypropyl]Oxane-2-Carboxylic Acid
别名 (2R,4S,5R,6R)-5-Acetamido-4-Deuteriooxy-2-Methoxy-6-[(1R,2R)-1,2,3-Trideuteriooxypropyl]Tetrahydropyran-2-Carboxylic Acid; (2R,4S,5R,6R)-5-Acetamido-4-Deuteriooxy-2-Methoxy-6-[(1R,2R)-1,2,3-Trideuteriooxypropyl]-2-Tetrahydropyrancarboxylic Acid; Anamg
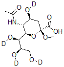
分子结构 CAS 登录号:128643-78-7, (2R,4S,5R,6R)-5-乙酰氨基-4-氘氧基-2-甲氧基-6-[(1R,2R)-1,2,3-三(氘羟基)丙基]四氢吡喃-2-羧酸
分子式 C12H17D4NO9
分子量 327.32
CAS 登录号 128643-78-7
分子行输入简码 SMILES [C@@H]1(C[C@](O[C@H]([C@@H]1NC(C)=O)[C@@H]([C@@H](CO[2H])O[2H])O[2H])(OC)C(O)=O)O[2H]
国际化学标识码 InChI 1S/C12H21NO9/c1-5(15)13-8-6(16)3-12(21-2,11(19)20)22-10(8)9(18)7(17)4-14/h6-10,14,16-18H,3-4H2,1-2H3,(H,13,15)(H,19,20)/t6-,7+,8+,9+,10+,12+/m0/s1/i14D,16D,17D,18D
国际化学标识检索码 InChIKey NJRVVFURCKKXOD-UKJQISGUSA-N
物理化学性质
密度 1.537g/cm3 (计算值)
沸点 732.63°C at 760 mmHg (计算值)
闪点 396.88°C (计算值)
市场分析报告
请浏览(2R,4S,5R,6R)-5-乙酰氨基-4-氘氧基-2-甲氧基-6-[(1R,2R)-1,2,3-三(氘羟基)丙基]四氢吡喃-2-羧酸市场分析报告总目录
相关产品
3,4,5-三羟基-6-[[3,4,5-三羟基-6...  异苯并吡喃并[3,4-g][1,4]苯并二氧杂环己...  [1-(2-甲氧基苯氧基)-3-(甲基氨基磺酰基氧...  6-[3-[(3,4-二甲氧基苯基)甲基氨基]-2...  (2S,4S,5R,6R)-5-乙酰氨基-4-羟基...  (3Z)-3-(2,3-二羟基-4-甲基-6-氧代...  [(3aR,4S,6R,10S,11S,11aS)...  [(3aS,4S,6R,10S,11aR)-6-乙...  1,6-二硝基苯并[b]芘  3,6-二硝基苯并[a]芘  4-甲氧基苄基2,4-二-O-苄基-3-O-(2,...  2-(7-甲氧基-1H-吲哚-3-基)-2,2-二...  (1R,4aS,6S,8aS)-6,8alpha-...  (8beta)-8-(乙酰氧基)-O9-苯甲酰基-...  2-(4-氰基苯基)色满-6-甲腈