Identification
| Name |
5-(4-(3-(Trifluromethyl)diazirinyl)phenyl)pentanoyl-lyso-G(M1) ganglioside |
| Synonyms |
5-Acetamido-2-[5-[3-Acetamido-5-Hydroxy-6-(Hydroxymethyl)-4-[3,4,5-Trihydroxy-6-(Hydroxymethyl)Tetrahydropyran-2-Yl]Oxy-Tetrahydropyran-2-Yl]Oxy-2-[4,5-Dihydroxy-2-(Hydroxymethyl)-6-[2-Hydroxy-1-[5-[4-[3-(Trifluoromethyl)Diazirin-3-Yl]Phenyl]Pentanoylamino]Heptadecoxy]Tetrahydropyran-3-Yl]Oxy-3-Hydroxy-6-(Hydroxymethyl)Tetrahydropyran-4-Yl]Oxy-4-Hydroxy-6-(1,2,3-Trihydroxypropyl)Tetrahydropyran-2-Carboxylic Acid; 5-Acetamido-2-[[5-[[3-Acetamido-5-Hydroxy-6-(Hydroxymethyl)-4-[[3,4,5-Trihydroxy-6-(Hydroxymethyl)-2-Tetrahydropyranyl]Oxy]-2-Tetrahydropyranyl]Oxy]-2-[[4,5-Dihydroxy-2-(Hydroxymethyl)-6-[2-Hydroxy-1-[[1-Oxo-5-[4-[3-(Trifluoromethyl)-3-Diazirinyl]Phenyl]Pentyl]Amino]Heptadecoxy]-3-Tetrahydropyranyl]Oxy]-3-Hydroxy-6-(Hydroxymethyl)-4-Tetrahydropyranyl]Oxy]-4-Hydroxy-6-(1,2,3-Trihydroxypropyl)-2-Tetrahydropyrancarboxylic Acid; 5-Acetamido-2-[5-[3-Acetamido-5-Hydroxy-6-Methylol-4-(3,4,5-Trihydroxy-6-Methylol-Tetrahydropyran-2-Yl)Oxy-Tetrahydropyran-2-Yl]Oxy-2-[4,5-Dihydroxy-6-[2-Hydroxy-1-[5-[4-[3-(Trifluoromethyl)Diazirin-3-Yl]Phenyl]Pentanoylamino]Heptadecoxy]-2-Methylol-Tetrahydropyran-3-Yl]Oxy-3-Hydroxy-6-Methylol-Tetrahydropyran-4-Yl]Oxy-4-Hydroxy-6-(1,2,3-Trihydroxypropyl)Tetrahydropyran-2-Carboxylic Acid |
|
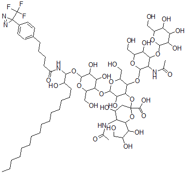
| Molecular Structure |
 |
| Molecular Formula |
C67H108F3N5O31 |
| Molecular Weight |
1536.60 |
| CAS Registry Number |
131966-72-8 |
| SMILES |
C1=C(C=CC(=C1)CCCCC(NC(C(O)CCCCCCCCCCCCCCC)OC2C(O)C(C(C(O2)CO)OC3C(O)C(C(C(O3)CO)OC5C(C(OC4C(C(C(C(O4)CO)O)O)O)C(C(O5)CO)O)NC(C)=O)OC6(CC(O)C(NC(C)=O)C(C(O)C(CO)O)O6)C(=O)O)O)=O)C7(N=N7)C(F)(F)F |
| InChI |
1S/C67H108F3N5O31/c1-4-5-6-7-8-9-10-11-12-13-14-15-16-20-36(83)59(73-43(86)21-18-17-19-34-22-24-35(25-23-34)66(74-75-66)67(68,69)70)104-62-52(93)50(91)54(41(30-79)99-62)101-63-53(94)58(106-65(64(95)96)26-37(84)44(71-32(2)81)57(105-65)46(87)38(85)27-76)55(42(31-80)100-63)102-60-45(72-33(3)82)56(48(89)40(29-78)97-60)103-61-51(92)49(90)47(88)39(28-77)98-61/h22-25,36-42,44-63,76-80,83-85,87-94H,4-21,26-31H2,1-3H3,(H,71,81)(H,72,82)(H,73,86)(H,95,96) |
| InChIKey |
RVTCMRFJLNUITD-UHFFFAOYSA-N |
|