Online Database of Chemicals from Around the World

(2S)-7-羟基-5-[(2S,3R,4S,5S,6R)-3,4,5-三羟基-6-(羟基甲基)四氢吡喃-2-基]氧基-1,2,3,4-四氢萘-2-羧酸
[CAS# 133084-09-0]

供应商
CAS#: 133084-09-0
产品: (2S)-7-羟基-5-[(2S,3R,4S,5S,6R)-3,4,5-三羟基-6-(羟基甲基)四氢吡喃-2-基]氧基-1,2,3,4-四氢萘-2-羧酸
暂时没有厂家供应该产品。
基本信息
产品名称 (2S)-7-羟基-5-[(2S,3R,4S,5S,6R)-3,4,5-三羟基-6-(羟基甲基)四氢吡喃-2-基]氧基-1,2,3,4-四氢萘-2-羧酸
英文名 (2S)-7-Hydroxy-5-[(2S,3R,4S,5S,6R)-3,4,5-Trihydroxy-6-(Hydroxymethyl)Oxan-2-Yl]Oxy-1,2,3,4-Tetrahydronaphthalene-2-Carboxylic Acid
别名 (2S)-7-Hydroxy-5-[(2S,3R,4S,5S,6R)-3,4,5-Trihydroxy-6-(Hydroxymethyl)Tetrahydropyran-2-Yl]Oxy-Tetralin-2-Carboxylic Acid; (2S)-7-Hydroxy-5-[[(2S,3R,4S,5S,6R)-3,4,5-Trihydroxy-6-(Hydroxymethyl)-2-Tetrahydropyranyl]Oxy]-2-Tetralincarboxylic Acid; (2S)-7-Hydroxy-5-[(2S,3R,4S,5S,6R)-3,4,5-Trihydroxy-6-Methylol-Tetrahydropyran-2-Yl]Oxy-Tetralin-2-Carboxylic Acid
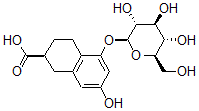
分子结构 CAS 登录号:133084-09-0, (2S)-7-羟基-5-[(2S,3R,4S,5S,6R)-3,4,5-三羟基-6-(羟基甲基)四氢吡喃-2-基]氧基-1,2,3,4-四氢萘-2-羧酸
分子式 C17H22O9
分子量 370.36
CAS 登录号 133084-09-0
分子行输入简码 SMILES [C@H]1(CC2=C(CC1)C(=CC(=C2)O)O[C@H]3[C@H](O)[C@@H](O)[C@H](O)[C@H](O3)CO)C(=O)O
国际化学标识码 InChI 1S/C17H22O9/c18-6-12-13(20)14(21)15(22)17(26-12)25-11-5-9(19)4-8-3-7(16(23)24)1-2-10(8)11/h4-5,7,12-15,17-22H,1-3,6H2,(H,23,24)/t7-,12+,13+,14-,15+,17+/m0/s1
国际化学标识检索码 InChIKey LZKGKUKUSQNWFR-DTGGDYGMSA-N
物理化学性质
密度 1.583g/cm3 (计算值)
沸点 745.235°C at 760 mmHg (计算值)
闪点 272.59°C (计算值)
市场分析报告
请浏览(2S)-7-羟基-5-[(2S,3R,4S,5S,6R)-3,4,5-三羟基-6-(羟基甲基)四氢吡喃-2-基]氧基-1,2,3,4-四氢萘-2-羧酸市场分析报告总目录
相关产品
(棕榈酰氧基)-L-抗坏血酸  9-(1-乙烯基-4-羟基-1,5-二甲基-5-己...  (2S-(2R*,5R*,9(S*)))-9-(1...  (十二烷基苄基)三甲基氯化铵  3,8-二羟基-1,2-二甲氧基-7-甲基蒽-9,...  5-羟基-3-(4-甲氧基苯基)苯并吡喃-4-酮  5-(羟基甲基)-1-(3-甲基丁基)吡咯-2-甲...  5-(羟基甲基)-1-(2-苯基乙基)吡咯-2-甲...  4-(6-氨基嘌呤-9-基)-4-甲基戊烷-2-酮  4,6,7,13-四氢-12-甲氧基-12bH-二...  (3E,5R,6R,7E)-8-溴-5,6-二氯-...  (5R)-3-[2,5-二(羟基甲基)吡咯-1-基...  N-(4-甲氧基亚苄基氨基)胍  二(2乙基己基)四氢邻苯二甲酸酯  异癸基邻苯二甲酸辛酯