Online Database of Chemicals from Around the World

Erythromyclamine
[CAS# 13368-00-8]

Suppliers
CAS#: 13368-00-8
Product: Erythromyclamine
No suppilers available for the product.
Identification
Name Erythromyclamine
Synonyms (3R,4S,5S,6R,7R,9R,11S,12R,13S,14R)-10-Amino-6-[(2S,3R,4S,6R)-4-Dimethylamino-3-Hydroxy-6-Methyl-Tetrahydropyran-2-Yl]Oxy-14-Ethyl-7,12,13-Trihydroxy-4-[(2R,4R,5S,6S)-5-Hydroxy-4-Methoxy-4,6-Dimethyl-Tetrahydropyran-2-Yl]Oxy-3,5,7,9,11,13-Hexamethyl-1-Oxacyclotetradecan-2-One; (3R,4S,5S,6R,7R,9R,11S,12R,13S,14R)-10-Amino-6-[[(2S,3R,4S,6R)-4-Dimethylamino-3-Hydroxy-6-Methyl-2-Tetrahydropyranyl]Oxy]-14-Ethyl-7,12,13-Trihydroxy-4-[[(2R,4R,5S,6S)-5-Hydroxy-4-Methoxy-4,6-Dimethyl-2-Tetrahydropyranyl]Oxy]-3,5,7,9,11,13-Hexamethyl-1-Oxacyclotetradecan-2-One; (3R,4S,5S,6R,7R,9R,11S,12R,13S,14R)-10-Amino-6-[(2S,3R,4S,6R)-4-Dimethylamino-3-Hydroxy-6-Methyl-Oxan-2-Yl]Oxy-14-Ethyl-7,12,13-Trihydroxy-4-[(2R,4R,5S,6S)-5-Hydroxy-4-Methoxy-4,6-Dimethyl-Oxan-2-Yl]Oxy-3,5,7,9,11,13-Hexamethyl-1-Oxacyclotetradecan-2-One
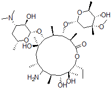
Molecular Structure CAS#: 13368-00-8, Erythromyclamine
Molecular Formula C37H70N2O12
Molecular Weight 734.97
CAS Registry Number 13368-00-8
SMILES [C@@H]3(O[C@@H]1O[C@@H](C[C@H](N(C)C)[C@H]1O)C)[C@H]([C@H](O[C@@H]2O[C@H]([C@H](O)[C@](OC)(C2)C)C)[C@H](C(O[C@@H]([C@@](O)([C@H](O)[C@H](C(N)[C@@H](C[C@]3(O)C)C)C)C)CC)=O)C)C
InChI 1S/C37H70N2O12/c1-14-25-37(10,45)30(41)20(4)27(38)18(2)16-35(8,44)32(51-34-28(40)24(39(11)12)15-19(3)47-34)21(5)29(22(6)33(43)49-25)50-26-17-36(9,46-13)31(42)23(7)48-26/h18-32,34,40-42,44-45H,14-17,38H2,1-13H3/t18-,19-,20+,21+,22-,23+,24+,25-,26+,27?,28-,29+,30-,31+,32-,34+,35-,36-,37-/m1/s1
InChIKey XCLJRCAJSCMIND-FRSXEBCHSA-N
Properties
Density 1.196g/cm3 (Cal.)
Boiling point 810.283°C at 760 mmHg (Cal.)
Flash point 443.843°C (Cal.)
Market Analysis Reports
List of Reports Available for Erythromyclamine
Related Products
1-Methyl-2-[(Prop-2-Ynylamino)Methyl]Ind...  3-[(E)-4-(4-Hydroxyphenyl)Hex-3-En-3-Yl]...  [(4R)-4-Hydroxy-6-Oxo-1-Cyclohexenyl] Be...  Bis(Dimethylamino)Methylvinylsilane  (6R,7R)-7-[[(2Z)-(2-Amino-4-thiazolyl)[[...  1-Cyclopentene-1,2-Dicarboxylic Acid Dim...  Methyl Cyanoformimidate  2-(4-Butan-2-Ylphenoxy)-N,N-Dimethyletha...  (2S)-2-[(2,4-Dinitrophenyl)Amino]-3-[2-[...  (2Z,4E,6Z,8E)-9-[3-(2-Hydroxyethoxy)-2,6...  1-Allyl-3,5-Dimethylpyrazole  (4-Chloro-2,5-Dimethylphenoxy)Acetic Aci...  (2S)-2-[[3-Carboxy-3-Hydroxy-5-[[(2S)-1-...  2-Hydroxy-4-[[(2S)-1-Hydroxy-6-[Hydroxy-...  2-Hydroxy-2-[2-[[1-Hydroxy-6-[Hydroxy-[(...