Online Database of Chemicals from Around the World

4-(1,3-苯并二氧戊环-5-基)-9-[(2S,3R,4S,5R)-3,4-二甲氧基-5-[(2S,3R,4S,5S,6R)-3,4,5-三羟基-6-(羟基甲基)四氢吡喃-2-基]氧基四氢吡喃-2-基]氧基-6,7-二甲氧基-1H-苯并[f][2]苯并呋喃-3-酮
[CAS# 133882-75-4]

供应商
CAS#: 133882-75-4
产品: 4-(1,3-苯并二氧戊环-5-基)-9-[(2S,3R,4S,5R)-3,4-二甲氧基-5-[(2S,3R,4S,5S,6R)-3,4,5-三羟基-6-(羟基甲基)四氢吡喃-2-基]氧基四氢吡喃-2-基]氧基-6,7-二甲氧基-1H-苯并[f][2]苯并呋喃-3-酮
暂时没有厂家供应该产品。
基本信息
产品名称 4-(1,3-苯并二氧戊环-5-基)-9-[(2S,3R,4S,5R)-3,4-二甲氧基-5-[(2S,3R,4S,5S,6R)-3,4,5-三羟基-6-(羟基甲基)四氢吡喃-2-基]氧基四氢吡喃-2-基]氧基-6,7-二甲氧基-1H-苯并[f][2]苯并呋喃-3-酮
英文名 4-(1,3-Benzodioxol-5-Yl)-9-[(2S,3R,4S,5R)-3,4-Dimethoxy-5-[(2S,3R,4S,5S,6R)-3,4,5-Trihydroxy-6-(Hydroxymethyl)Oxan-2-Yl]Oxyoxan-2-Yl]Oxy-6,7-Dimethoxy-1H-Benzo[f][2]Benzoxol-3-One
别名 4-(1,3-Benzodioxol-5-Yl)-9-[(2S,3R,4S,5R)-3,4-Dimethoxy-5-[(2S,3R,4S,5S,6R)-3,4,5-Trihydroxy-6-(Hydroxymethyl)Tetrahydropyran-2-Yl]Oxy-Tetrahydropyran-2-Yl]Oxy-6,7-Dimethoxy-1H-Benzo[F]Isobenzofuran-3-One; 4-(1,3-Benzodioxol-5-Yl)-9-[[(2S,3R,4S,5R)-3,4-Dimethoxy-5-[[(2S,3R,4S,5S,6R)-3,4,5-Trihydroxy-6-(Hydroxymethyl)-2-Tetrahydropyranyl]Oxy]-2-Tetrahydropyranyl]Oxy]-6,7-Dimethoxy-1H-Benzo[F]Isobenzofuran-3-One; 4-(1,3-Benzodioxol-5-Yl)-9-[(2S,3R,4S,5R)-3,4-Dimethoxy-5-[(2S,3R,4S,5S,6R)-3,4,5-Trihydroxy-6-Methylol-Tetrahydropyran-2-Yl]Oxy-Tetrahydropyran-2-Yl]Oxy-6,7-Dimethoxy-1H-Benzo[F]Isobenzofuran-3-One
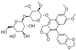
分子结构 CAS 登录号:133882-75-4, 4-(1,3-苯并二氧戊环-5-基)-9-[(2S,3R,4S,5R)-3,4-二甲氧基-5-[(2S,3R,4S,5S,6R)-3,4,5-三羟基-6-(羟基甲基)四氢吡喃-2-基]氧基四氢吡喃-2-基]氧基-6,7-二甲氧基-1H-苯并[f][2]苯并呋喃-3-酮
分子式 C34H38O16
分子量 702.66
CAS 登录号 133882-75-4
分子行输入简码 SMILES [C@@H]7(OC1=C5C(=C(C2=C1C=C(OC)C(=C2)OC)C4=CC3=C(OCO3)C=C4)C(OC5)=O)OC[C@@H](O[C@@H]6O[C@@H]([C@@H](O)[C@H](O)[C@H]6O)CO)[C@H](OC)[C@H]7OC
国际化学标识码 InChI 1S/C34H38O16/c1-40-19-8-15-16(9-20(19)41-2)29(17-11-44-32(39)25(17)24(15)14-5-6-18-21(7-14)47-13-46-18)50-34-31(43-4)30(42-3)23(12-45-34)49-33-28(38)27(37)26(36)22(10-35)48-33/h5-9,22-23,26-28,30-31,33-38H,10-13H2,1-4H3/t22-,23-,26-,27+,28-,30+,31-,33+,34+/m1/s1
国际化学标识检索码 InChIKey DDUSFSKGAHCYFG-LXOHQACASA-N
物理化学性质
密度 1.549g/cm3 (计算值)
沸点 930.313°C at 760 mmHg (计算值)
闪点 295.12°C (计算值)
市场分析报告
请浏览4-(1,3-苯并二氧戊环-5-基)-9-[(2S,3R,4S,5R)-3,4-二甲氧基-5-[(2S,3R,4S,5S,6R)-3,4,5-三羟基-6-(羟基甲基)四氢吡喃-2-基]氧基四氢吡喃-2-基]氧基-6,7-二甲氧基-1H-苯并[f][2]苯并呋喃-3-酮市场分析报告总目录
相关产品
2-氨基-5-羟基-1-甲基-5H-咪唑-4-酮  9,10-二氢-9-(3-二甲基氨基丙氧基)-9,...  4-呋喃-2-基-2,6-二甲基-1,4-二氢吡啶...  3-氯-6,8-二甲氧基异喹啉  锝氯化物(环己烷二酮二肟)3-间苯基异硫氰酸酯  螺[4.5]癸烷-6-酮  8-氨基-2'-脱氧腺苷  2-(1,2,4-恶二唑-3-基)吡啶  3-[[4-(乙酰氨基)苯基]偶氮]-4-羟基-5...  酸性黄 38  三钠蒽并[2,1,9-mna]萘并[2,3-h]吖...  [1-[羟基-[2-[[4-(2-甲氧基乙氧基)-...  3-(4-叠氮基苯基)丙酰胺  [(2R,3S,4R,5R,6R)-5-氨基-4-...  3,5-二氨基-N-(氨基-萘-1-基亚甲基)-6...