Online Database of Chemicals from Around the World

8-[3-[6-[[3,4-二羟基-4-(羟基甲基)四氢呋喃-2-基]氧基甲基]-3,4,5-三羟基四氢吡喃-2-基]氧基-2-羟基-3-甲基丁基]-5,7-二甲氧基苯并吡喃-2-酮
[CAS# 134018-84-1]

供应商
CAS#: 134018-84-1
产品: 8-[3-[6-[[3,4-二羟基-4-(羟基甲基)四氢呋喃-2-基]氧基甲基]-3,4,5-三羟基四氢吡喃-2-基]氧基-2-羟基-3-甲基丁基]-5,7-二甲氧基苯并吡喃-2-酮
暂时没有厂家供应该产品。
基本信息
产品名称 8-[3-[6-[[3,4-二羟基-4-(羟基甲基)四氢呋喃-2-基]氧基甲基]-3,4,5-三羟基四氢吡喃-2-基]氧基-2-羟基-3-甲基丁基]-5,7-二甲氧基苯并吡喃-2-酮
英文名 8-[3-[6-[[3,4-Dihydroxy-4-(Hydroxymethyl)Oxolan-2-Yl]Oxymethyl]-3,4,5-Trihydroxyoxan-2-Yl]Oxy-2-Hydroxy-3-Methylbutyl]-5,7-Dimethoxychromen-2-One
别名 8-[3-[6-[[3,4-Dihydroxy-4-(Hydroxymethyl)Tetrahydrofuran-2-Yl]Oxymethyl]-3,4,5-Trihydroxy-Tetrahydropyran-2-Yl]Oxy-2-Hydroxy-3-Methyl-Butyl]-5,7-Dimethoxy-Chromen-2-One; 8-[3-[[6-[[3,4-Dihydroxy-4-(Hydroxymethyl)-2-Tetrahydrofuranyl]Oxymethyl]-3,4,5-Trihydroxy-2-Tetrahydropyranyl]Oxy]-2-Hydroxy-3-Methylbutyl]-5,7-Dimethoxy-2-Chromenone; 8-[3-[6-[(3,4-Dihydroxy-4-Methylol-Tetrahydrofuran-2-Yl)Oxymethyl]-3,4,5-Trihydroxy-Tetrahydropyran-2-Yl]Oxy-2-Hydroxy-3-Methyl-Butyl]-5,7-Dimethoxy-Coumarin
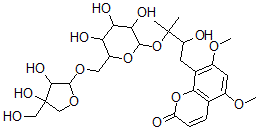
分子结构 CAS 登录号:134018-84-1, 8-[3-[6-[[3,4-二羟基-4-(羟基甲基)四氢呋喃-2-基]氧基甲基]-3,4,5-三羟基四氢吡喃-2-基]氧基-2-羟基-3-甲基丁基]-5,7-二甲氧基苯并吡喃-2-酮
分子式 C27H38O15
分子量 602.59
CAS 登录号 134018-84-1
分子行输入简码 SMILES C2=C(OC)C1=C(OC(=O)C=C1)C(=C2OC)CC(O)C(OC3OC(C(O)C(O)C3O)COC4OCC(O)(C4O)CO)(C)C
国际化学标识码 InChI 1S/C27H38O15/c1-26(2,17(29)7-13-15(37-4)8-14(36-3)12-5-6-18(30)41-22(12)13)42-24-21(33)20(32)19(31)16(40-24)9-38-25-23(34)27(35,10-28)11-39-25/h5-6,8,16-17,19-21,23-25,28-29,31-35H,7,9-11H2,1-4H3
国际化学标识检索码 InChIKey CKHYWBSGQWYTKJ-UHFFFAOYSA-N
物理化学性质
密度 1.533g/cm3 (计算值)
沸点 891.739°C at 760 mmHg (计算值)
闪点 291.635°C (计算值)
市场分析报告
请浏览8-[3-[6-[[3,4-二羟基-4-(羟基甲基)四氢呋喃-2-基]氧基甲基]-3,4,5-三羟基四氢吡喃-2-基]氧基-2-羟基-3-甲基丁基]-5,7-二甲氧基苯并吡喃-2-酮市场分析报告总目录
相关产品
2-亚甲基丁二酸二丙基酯  二(2-氯乙基)2-亚甲基丁二酸酯  N-叔丁氧羰基-2-氨基乙烷磺酰氯  (2S)-3-[[(2S)-1-羟基-3-(3H-...  N-[(乙酰氨基)羰基]-2-苯基丁酰胺  硫代苯甲酸苄酯  18-乙烯二硫代黄体酮  N-[(Z)-3-[(Z)-2-[甲酰基-[(2-...  6-溴-3-[2-(6-溴-1H-吲哚-3-基)-...  维他命D3棕榈酸酯  (4-氨基苯基)-(氨基甲酰氨基)氧基次锑酸  (R)-(-)-2-戊醇  2-(3-溴苯基)咪唑并[1,2-a]嘧啶  (2R)-3-羟基-2-(3-羟基-3,7,11,...  8-[(2S,4S,5S,6R)-4,5-二羟基-...