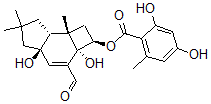
Identification
| Name |
Armillaritin |
| Synonyms |
Benzoic Acid, 2,4-Dihydroxy-6-Methyl-, 3-Formyl-2,2A,4A,5,6,7,7A,7B-Octahydro-2A,4A-Dihydroxy-6,6,7B-Trimethyl-1H-Cyclobut(E)Inden-2-Yl Ester, (2Alpha,2Abeta,4Aalpha,7Aalpha,7Bbeta)-(+)- |
|
| Molecular Structure |
 |
| Molecular Formula |
C23H28O7 |
| Molecular Weight |
416.47 |
| CAS Registry Number |
135247-96-0 |
| SMILES |
[C@]23([C@@](O)([C@H](OC(=O)C1=C(C=C(O)C=C1O)C)C2)C(=C[C@@]4(O)[C@@H]3CC(C4)(C)C)C=O)C |
| InChI |
1S/C23H28O7/c1-12-5-14(25)6-15(26)18(12)19(27)30-17-9-21(4)16-8-20(2,3)11-22(16,28)7-13(10-24)23(17,21)29/h5-7,10,16-17,25-26,28-29H,8-9,11H2,1-4H3/t16-,17-,21-,22+,23+/m1/s1 |
| InChIKey |
CXDPJDYGYSRNDR-MTJRIOAFSA-N |
|