Online Database of Chemicals from Around the World

(2S)-N,N'-二癸基-2-[[4-[(2,4-二氨基蝶啶-6-基)甲基-甲基氨基]苯甲酰基]氨基]戊烷二酰胺
[CAS# 136181-93-6]

供应商
CAS#: 136181-93-6
产品: (2S)-N,N'-二癸基-2-[[4-[(2,4-二氨基蝶啶-6-基)甲基-甲基氨基]苯甲酰基]氨基]戊烷二酰胺
暂时没有厂家供应该产品。
基本信息
产品名称 (2S)-N,N'-二癸基-2-[[4-[(2,4-二氨基蝶啶-6-基)甲基-甲基氨基]苯甲酰基]氨基]戊烷二酰胺
英文名 (2S)-N,N'-Didecyl-2-[[4-[(2,4-Diaminopteridin-6-Yl)Methyl-Methylamino]Benzoyl]Amino]Pentanediamide
别名 (2S)-N,N'-Didecyl-2-[[4-[(2,4-Diaminopteridin-6-Yl)Methyl-Methyl-Amino]Benzoyl]Amino]Pentanediamide; (2S)-N,N'-Didecyl-2-[[[4-[(2,4-Diamino-6-Pteridinyl)Methyl-Methylamino]Phenyl]-Oxomethyl]Amino]Pentanediamide; (2S)-N,N'-Didecyl-2-[[4-[(2,4-Diaminopteridin-6-Yl)Methyl-Methyl-Amino]Benzoyl]Amino]Glutaramide
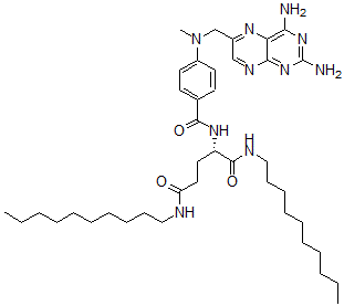
分子结构 CAS 登录号:136181-93-6, (2S)-N,N'-二癸基-2-[[4-[(2,4-二氨基蝶啶-6-基)甲基-甲基氨基]苯甲酰基]氨基]戊烷二酰胺
分子式 C40H64N10O3
分子量 733.01
CAS 登录号 136181-93-6
分子行输入简码 SMILES [C@@H](NC(=O)C3=CC=C(N(CC2=NC1=C(N=C(N=C1N=C2)N)N)C)C=C3)(C(=O)NCCCCCCCCCC)CCC(=O)NCCCCCCCCCC
国际化学标识码 InChI 1S/C40H64N10O3/c1-4-6-8-10-12-14-16-18-26-43-34(51)25-24-33(39(53)44-27-19-17-15-13-11-9-7-5-2)47-38(52)30-20-22-32(23-21-30)50(3)29-31-28-45-37-35(46-31)36(41)48-40(42)49-37/h20-23,28,33H,4-19,24-27,29H2,1-3H3,(H,43,51)(H,44,53)(H,47,52)(H4,41,42,45,48,49)/t33-/m0/s1
国际化学标识检索码 InChIKey JHUNGZQPXRVEDL-XIFFEERXSA-N
物理化学性质
密度 1.13g/cm3 (计算值)
市场分析报告
请浏览(2S)-N,N'-二癸基-2-[[4-[(2,4-二氨基蝶啶-6-基)甲基-甲基氨基]苯甲酰基]氨基]戊烷二酰胺市场分析报告总目录
相关产品
(4alpha,10alpha)-4,19-环-a...  3,5-二乙基-4-甲基-1H-吡唑  (E)-3-羟基-2-[4-(三氟甲基)苯甲酰基]...  1beta,4alpha-二溴环己烷  八氢吲嗪  N-[5-[3-乙酰氨基-4,5-二羟基-6-(甲...  N-[(2S,3R,4R,5R,6R)-2-[(2...  4-(2,4-二甲基苯基)偶氮-2,5-二甲基苯胺  二乙基2-[[4-[[4-[(1,4-二乙氧基-1...  长春立辛  2,2-二甲基次氮基三乙酸酯  2-(4'-氨基苄基)咪唑啉  葡糖阿洛氨菌素A  N-甲基-2-乙烯基吡啶鎓对甲苯磺酸盐  2,4,5-三氯苯酚锌