Online Database of Chemicals from Around the World

1-(3-巯基-L-缬氨酸)-2-D-苯丙氨酸-4-L-苏氨酸-8-L-鸟氨酸-缩宫素
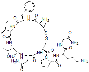
[CAS# 136429-81-7]

供应商
CAS#: 136429-81-7
产品: 1-(3-巯基-L-缬氨酸)-2-D-苯丙氨酸-4-L-苏氨酸-8-L-鸟氨酸-缩宫素
暂时没有厂家供应该产品。
基本信息
产品名称 1-(3-巯基-L-缬氨酸)-2-D-苯丙氨酸-4-L-苏氨酸-8-L-鸟氨酸-缩宫素
英文名 1-(3-mercapto-L-valine)-2-D-phenylalanine-4-L-threonine-8-L-ornithine-Oxytocin
别名 (2S)-N-[(1S)-4-Amino-1-[(2-Amino-2-Oxo-Ethyl)Carbamoyl]Butyl]-1-[(4R,7S,10S,16R,19R)-19-Amino-7-(2-Amino-2-Oxo-Ethyl)-10-(1-Hydroxyethyl)-20,20-Dimethyl-6,9,12,15,18-Pentaoxo-16-(Phenylmethyl)-13-Sec-Butyl-1,2-Dithia-5,8,11,14,17-Pentazacycloicosane-4-Carbonyl]Pyrrolidine-2-Carboxamide; (2S)-N-[(1S)-4-Amino-1-[[(2-Amino-2-Oxoethyl)Amino]-Oxomethyl]Butyl]-1-[[(4R,7S,10S,16R,19R)-19-Amino-7-(2-Amino-2-Oxoethyl)-10-(1-Hydroxyethyl)-20,20-Dimethyl-6,9,12,15,18-Pentaoxo-16-(Phenylmethyl)-13-Sec-Butyl-1,2-Dithia-5,8,11,14,17-Pentazacycloicos-4-Yl]-Oxomethyl]-2-Pyrrolidinecarboxamide; (2S)-1-[(4R,7S,10S,16R,19R)-19-Amino-7-(2-Amino-2-Keto-Ethyl)-16-(Benzyl)-10-(1-Hydroxyethyl)-6,9,12,15,18-Pentaketo-20,20-Dimethyl-13-Sec-Butyl-1,2-Dithia-5,8,11,14,17-Pentazacycloicosane-4-Carbonyl]-N-[(1S)-4-Amino-1-[(2-Amino-2-Keto-Ethyl)Carbamoyl]Butyl]Pyrrolidine-2-Carboxamide
分子结构 CAS 登录号:136429-81-7, 1-(3-巯基-L-缬氨酸)-2-D-苯丙氨酸-4-L-苏氨酸-8-L-鸟氨酸-缩宫素
分子式 C43H68N12O11S2
分子量 993.20
CAS 登录号 136429-81-7
分子行输入简码 SMILES [C@H]1(NC(=O)C(NC(=O)[C@H](NC(=O)[C@@H](N)C(SSC[C@H](NC(=O)[C@@H](NC1=O)CC(=O)N)C(=O)N2[C@H](C(=O)N[C@H](C(=O)NCC(=O)N)CCCN)CCC2)(C)C)CC3=CC=CC=C3)[C@H](CC)C)[C@H](O)C
国际化学标识码 InChI 1S/C43H68N12O11S2/c1-6-22(2)32-39(63)54-33(23(3)56)40(64)50-27(19-30(45)57)36(60)52-28(42(66)55-17-11-15-29(55)38(62)49-25(14-10-16-44)35(59)48-20-31(46)58)21-67-68-43(4,5)34(47)41(65)51-26(37(61)53-32)18-24-12-8-7-9-13-24/h7-9,12-13,22-23,25-29,32-34,56H,6,10-11,14-21,44,47H2,1-5H3,(H2,45,57)(H2,46,58)(H,48,59)(H,49,62)(H,50,64)(H,51,65)(H,52,60)(H,53,61)(H,54,63)/t22-,23+,25-,26+,27-,28-,29-,32?,33-,34+/m0/s1
国际化学标识检索码 InChIKey WQFIVHQRSCEQQW-IHHZODIZSA-N
物理化学性质
密度 1.245g/cm3 (计算值)
沸点 1454.109°C at 760 mmHg (计算值)
闪点 833.215°C (计算值)
市场分析报告
请浏览1-(3-巯基-L-缬氨酸)-2-D-苯丙氨酸-4-L-苏氨酸-8-L-鸟氨酸-缩宫素市场分析报告总目录
相关产品
2,4-辛二烯  5-[(3,5-二叔丁基-4-羟基苯基)甲基]-1...  N-[2-(2-氧代咪唑烷-1-基)乙基]巴豆酰胺  [[(2R,3S,4R,5R)-5-(6-氨基嘌呤...  [[(2R,3R,4R,5R)-5-(6-氨基嘌呤...  (2E,4E)-2-[3-(2-羟基-5-氧代-2...  (13Z)-5,6,7,11-四羟基-3-[(E)...  氟甲基(8S,9S,10R,11S,13S,14S...  1-(4-甲基苯氧基)-2,8,9-三氧杂-5-氮...  9-[4,5-二(苯基)-1,3-恶唑-2-基]壬...  (7S)-2-氨基-7-[(1R,2S)-1,2-...  (E)-5-羟基-3-甲氧基戊-2-烯酸  N',N'-二甲基-N-(吡啶-3-基甲基)-N-...  2,6-二叔丁基-4-[2-(2-二甲基氨基乙基-...  (1,7,7-三甲基-6-双环[2.2.1]庚烷基...