Online Database of Chemicals from Around the World

3beta,23alpha-Dihydroxy-5alpha-Spirostan-26-One 3-O-alpha-Rhamnopyranosyl (1-2)-(alpha-Rhamnopyranosyl-(1-4))-beta-Glucopyranoside
[CAS# 137038-72-3]

Suppliers
CAS#: 137038-72-3
Product: 3beta,23alpha-Dihydroxy-5alpha-Spirostan-26-One 3-O-alpha-Rhamnopyranosyl (1-2)-(alpha-Rhamnopyranosyl-(1-4))-beta-Glucopyranoside
No suppilers available for the product.
Identification
Name 3beta,23alpha-Dihydroxy-5alpha-Spirostan-26-One 3-O-alpha-Rhamnopyranosyl (1-2)-(alpha-Rhamnopyranosyl-(1-4))-beta-Glucopyranoside
Synonyms Soladulcoside B; Spirostan-26-One, 3-((O-6-Deoxy-Alpha-L-Mannopyranosyl-(1-2)-O-(6-Deoxy-Alpha-L-Mannopyranosyl-(1-4))-Beta-D-Glucopyranosyl)Oxy)-23-Hydroxy-, (3Beta,5Alpha,23S,25R)-
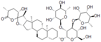
Molecular Structure CAS#: 137038-72-3, 3beta,23alpha-Dihydroxy-5alpha-Spirostan-26-One 3-O-alpha-Rhamnopyranosyl (1-2)-(alpha-Rhamnopyranosyl-(1-4))-beta-Glucopyranoside
Molecular Formula C45H72O18
Molecular Weight 901.05
CAS Registry Number 137038-72-3
SMILES [C@@H]1(CC[C@]4([C@H](C1)CC[C@H]5[C@@H]3C[C@@H]2OC6([C@H]([C@@H]2[C@@]3(C)CC[C@H]45)C)OC([C@@H](C[C@@H]6O)C)=O)C)O[C@@H]9[C@H](O[C@H]7[C@H](O)[C@H](O)[C@@H](O)[C@@H](O7)C)[C@@H](O[C@H]8[C@H](O)[C@H](O)[C@@H](O)[C@@H](O8)C)[C@H](O)[C@H](O9)CO
InChI 1S/C45H72O18/c1-17-13-28(47)45(63-39(17)55)18(2)29-26(62-45)15-25-23-8-7-21-14-22(9-11-43(21,5)24(23)10-12-44(25,29)6)58-42-38(61-41-36(54)34(52)31(49)20(4)57-41)37(32(50)27(16-46)59-42)60-40-35(53)33(51)30(48)19(3)56-40/h17-38,40-42,46-54H,7-16H2,1-6H3/t17-,18+,19+,20+,21+,22+,23-,24+,25+,26+,27-,28+,29+,30+,31+,32-,33-,34-,35-,36-,37+,38-,40+,41+,42+,43+,44+,45?/m1/s1
InChIKey HYJKJYCNHQELHC-FVQRPIGGSA-N
Properties
Density 1.44g/cm3 (Cal.)
Market Analysis Reports
List of Reports Available for 3beta,23alpha-Dihydroxy-5alpha-Spirostan-26-One 3-O-alpha-Rhamnopyranosyl (1-2)-(alpha-Rhamnopyranosyl-(1-4))-beta-Glucopyranoside
Related Products
Trichloroboroxin  Trifluoroboroxine  Borothiine-2,4,6-trithiol  Trichovirin I-1B  5-[7-[5-[1,4-Dihydroxy-4-[5-(1-Hydroxyun...  [(2R)-1-[Hydroxy-[2-[[3-[3-(Trifluoromet...  3-(2-Acetamidoethoxy)Propyl-Trimethylaza...  1,3-Dimethyl-7-[4-(2-Nitroimidazol-1-Yl)...  Preprorenin (63-73)  3,3-Dimethyl-4-Phenylbutan-2-One  [(3S,8S,9S,10R,13R,14S,17R)-10,13-Dimeth...  Bromodifluorophosphine Sulfide  Dibromofluorophosphine Sulfide  Phenylsuccinonitrile  Digoxigenin-11-2',3'-dideoxyuridine 5'-t...