Online Database of Chemicals from Around the World

(2S,3S,4S,5R,6R)-6-[[[(2R,3S,4R,5R)-5-(5-Azido-2,4-Dioxopyrimidin-1-Yl)-3,4-Dihydroxyoxolan-2-Yl]Methoxy-Hydroxyphosphoryl]Oxy-Hydroxyphosphoryl]Oxy-3,4,5-Trihydroxyoxane-2-Carboxylic Acid
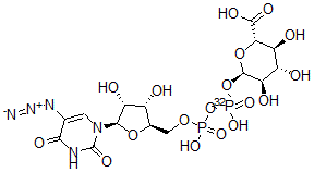
[CAS# 137528-00-8]

Suppliers
CAS#: 137528-00-8
Product: (2S,3S,4S,5R,6R)-6-[[[(2R,3S,4R,5R)-5-(5-Azido-2,4-Dioxopyrimidin-1-Yl)-3,4-Dihydroxyoxolan-2-Yl]Methoxy-Hydroxyphosphoryl]Oxy-Hydroxyphosphoryl]Oxy-3,4,5-Trihydroxyoxane-2-Carboxylic Acid
No suppilers available for the product.
Identification
Name (2S,3S,4S,5R,6R)-6-[[[(2R,3S,4R,5R)-5-(5-Azido-2,4-Dioxopyrimidin-1-Yl)-3,4-Dihydroxyoxolan-2-Yl]Methoxy-Hydroxyphosphoryl]Oxy-Hydroxyphosphoryl]Oxy-3,4,5-Trihydroxyoxane-2-Carboxylic Acid
Synonyms (2S,3S,4S,5R,6R)-6-[[[(2R,3S,4R,5R)-5-(5-Azido-2,4-Dioxo-Pyrimidin-1-Yl)-3,4-Dihydroxy-Tetrahydrofuran-2-Yl]Methoxy-Hydroxy-Phosphoryl]Oxy-Hydroxy-Phosphoryl]Oxy-3,4,5-Trihydroxy-Tetrahydropyran-2-Carboxylic Acid; (2S,3S,4S,5R,6R)-6-[[[(2R,3S,4R,5R)-5-(5-Azido-2,4-Dioxo-1-Pyrimidinyl)-3,4-Dihydroxy-2-Tetrahydrofuranyl]Methoxy-Hydroxyphosphoryl]Oxy-Hydroxyphosphoryl]Oxy-3,4,5-Trihydroxy-2-Tetrahydropyrancarboxylic Acid; (2S,3S,4S,5R,6R)-6-[[[(2R,3S,4R,5R)-5-(5-Azido-2,4-Diketo-Pyrimidin-1-Yl)-3,4-Dihydroxy-Tetrahydrofuran-2-Yl]Methoxy-Hydroxy-Phosphoryl]Oxy-Hydroxy-Phosphoryl]Oxy-3,4,5-Trihydroxy-Tetrahydropyran-2-Carboxylic Acid
Molecular Structure CAS#: 137528-00-8, (2S,3S,4S,5R,6R)-6-[[[(2R,3S,4R,5R)-5-(5-Azido-2,4-Dioxopyrimidin-1-Yl)-3,4-Dihydroxyoxolan-2-Yl]Methoxy-Hydroxyphosphoryl]Oxy-Hydroxyphosphoryl]Oxy-3,4,5-Trihydroxyoxane-2-Carboxylic Acid
Molecular Formula C15H21N5O18P2
Molecular Weight 621.30
CAS Registry Number 137528-00-8
SMILES [32P](O[C@H]1O[C@@H]([C@@H](O)[C@H](O)[C@H]1O)C(=O)O)(O[P](OC[C@H]3O[C@@H](N2C(=O)NC(=O)C(=C2)N=[N+]=[N-])[C@H](O)[C@@H]3O)(=O)O)(=O)O
InChI 1S/C15H21N5O18P2/c16-19-18-3-1-20(15(29)17-11(3)26)12-8(24)5(21)4(35-12)2-34-39(30,31)38-40(32,33)37-14-9(25)6(22)7(23)10(36-14)13(27)28/h1,4-10,12,14,21-25H,2H2,(H,27,28)(H,30,31)(H,32,33)(H,17,26,29)/t4-,5-,6+,7+,8-,9-,10+,12-,14-/m1/s1/i40+1
InChIKey ZNOHGZBJCYOZKN-NQZRZOHOSA-N
Market Analysis Reports
List of Reports Available for (2S,3S,4S,5R,6R)-6-[[[(2R,3S,4R,5R)-5-(5-Azido-2,4-Dioxopyrimidin-1-Yl)-3,4-Dihydroxyoxolan-2-Yl]Methoxy-Hydroxyphosphoryl]Oxy-Hydroxyphosphoryl]Oxy-3,4,5-Trihydroxyoxane-2-Carboxylic Acid
Related Products
2,3,4-Trihydroxybutanoic Acid  4-Amino-5-Bromo-1-[(2S,5R)-2-(Hydroxymet...  (2S)-2-[[(2S)-3-Hydroxy-2-[[2-[2-(Hydrox...  (Dodecylthio)Acetic Acid  3-Hydroxy-4-[[4-[(Hydroxyimino)Methyl]Ph...  (8R,9S,13S,14S,17S)-17-Butylamino-13-Met...  3-(Phenylmethoxy)-1,2-Propanediol Diacet...  3-(4-Aminophenyl)-3-Cyclohexylpiperidine...  2-Amino-4-Oxo-4-Pyridin-3-Ylbutanoic Aci...  1-[(8R,9S,13S,14S,17S)-2,4-Dibromo-3,17-...  2-[[2-[(E)-2-[8-(Bis(Carboxymethyl)Amino...  2-[3-[(5-Dimethylaminonaphthalen-1-Yl)Su...  5-Methyl-3-[2,8,15-Trihydroxy-15-[5-(1-H...  (3beta,16alpha)-3-((4-O-alpha-L-arabinop...  (3beta,16alpha)-3-((O-beta-D-galactopyra...