Online Database of Chemicals from Around the World

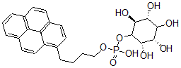
[(2S,3S,5R,6S)-2,3,4,5,6-五羟基环己基]4-芘-1-基丁基氢磷酸酯
[CAS# 139143-25-2]

供应商
CAS#: 139143-25-2
产品: [(2S,3S,5R,6S)-2,3,4,5,6-五羟基环己基]4-芘-1-基丁基氢磷酸酯
暂时没有厂家供应该产品。
基本信息
产品名称 [(2S,3S,5R,6S)-2,3,4,5,6-五羟基环己基]4-芘-1-基丁基氢磷酸酯
英文名 [(2S,3S,5R,6S)-2,3,4,5,6-Pentahydroxycyclohexyl] 4-Pyren-1-Ylbutyl Hydrogen Phosphate
别名 [(2S,3S,5R,6S)-2,3,4,5,6-Pentahydroxycyclohexyl] 4-(1-Pyrenyl)Butyl Hydrogen Phosphate; 4-(1-Pyreno)Butylphosphorylinositol; Dl-Myo-Inositol, 1-(4-(1-Pyrenyl)Butyl Hydrogen Phosphate)
分子结构 CAS 登录号:139143-25-2, [(2S,3S,5R,6S)-2,3,4,5,6-五羟基环己基]4-芘-1-基丁基氢磷酸酯
分子式 C26H29O9P
分子量 516.48
CAS 登录号 139143-25-2
分子行输入简码 SMILES [C@@H]5(O)C(O[P](OCCCCC1=C4C2=C(C=C1)C=CC3=C2C(=CC=C3)C=C4)(O)=O)[C@@H](O)[C@H](O)C(O)[C@@H]5O
国际化学标识码 InChI 1S/C26H29O9P/c27-21-22(28)24(30)26(25(31)23(21)29)35-36(32,33)34-13-2-1-4-14-7-8-17-10-9-15-5-3-6-16-11-12-18(14)20(17)19(15)16/h3,5-12,21-31H,1-2,4,13H2,(H,32,33)/t21?,22-,23+,24-,25-,26?/m0/s1
国际化学标识检索码 InChIKey VBIVPQHGEARBEM-CDFZIERKSA-N
市场分析报告
请浏览[(2S,3S,5R,6S)-2,3,4,5,6-五羟基环己基]4-芘-1-基丁基氢磷酸酯市场分析报告总目录
相关产品
N-硝酸基特戊酰-S-(N'-乙酰基丙氨酰)-半胱...  4-[[3-[(2-环己基-2-羟基乙亚基)氨基]...  1-羟基-1-[(3S)-6-(苯基甲氧基)-2,...  (Z)-十八碳-9-烯酸甲酯  (4-氯苯基)-乙氧基-甲硫酮  5-氯-4-甲基-2-丙酰胺基噻唑  5-(1-金刚烷基)-4-乙基-2H-1,2,4-...  5-(1-金刚烷基)-4-(苯基甲基)-2H-1,...  3,5-二溴-6,7-二氢-5H-1,2-苯并恶唑...  (3beta,20alpha,21alpha)-2...  (3beta,4beta,20beta)-3,23...  2-[3,4-二羟基-5-(3-甲基丁-2-烯基)...  3,6,7-三羟基-2-[4-羟基-3-(3-甲基...  2-[3,4-二羟基-5-(3-甲基丁-2-烯基)...  柔花酸-4-O-beta-D-吡喃木糖