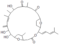
Identification
| Name |
Amphidinolide F |
| Synonyms |
3,26,27-Trioxatricyclo(21.2.1.16,9)Heptacos-13-Ene-4,18,21-Trione, 10,11,16-Trihydroxy-7,14,15,19-Tetramethyl-12-Methylene-2-(4-Methyl-1,3-Pentadienyl)- |
|
| Molecular Structure |
 |
| Molecular Formula |
C35H52O9 |
| Molecular Weight |
616.79 |
| CAS Registry Number |
139594-87-9 |
| SMILES |
CC3C1OC(C(O)C(O)C(\C=C(C(C(O)CC(=O)C(CC(=O)CC2OC(C(OC(=O)C1)\C=C\C=C(C)C)CC2)C)C)/C)=C)C3 |
| InChI |
1S/C35H52O9/c1-19(2)9-8-10-29-30-12-11-26(42-30)16-25(36)14-21(4)27(37)17-28(38)24(7)20(3)13-23(6)34(40)35(41)32-15-22(5)31(43-32)18-33(39)44-29/h8-10,13,21-22,24,26,28-32,34-35,38,40-41H,6,11-12,14-18H2,1-5,7H3/b10-8+,20-13+ |
| InChIKey |
VLOUARUYJFXXNO-VMHIOKEMSA-N |
|