Online Database of Chemicals from Around the World

(1R-(1alpha,2alpha,3beta,9beta,13alpha,17beta,18alpha,19beta))-2,13,18-Tris(Carboxymethyl)-4,5,6,7,8,11,12,22-Octadehydro-4,5,6,9,10,11,21,22-Octahydro-3,5,8,9,13,15,18,19-Octamethyl-3,7,12,17-Corrintetrapropanoic Acid
[CAS# 139663-56-2]

Suppliers
CAS#: 139663-56-2
Product: (1R-(1alpha,2alpha,3beta,9beta,13alpha,17beta,18alpha,19beta))-2,13,18-Tris(Carboxymethyl)-4,5,6,7,8,11,12,22-Octadehydro-4,5,6,9,10,11,21,22-Octahydro-3,5,8,9,13,15,18,19-Octamethyl-3,7,12,17-Corrintetrapropanoic Acid
No suppilers available for the product.
Identification
Name (1R-(1alpha,2alpha,3beta,9beta,13alpha,17beta,18alpha,19beta))-2,13,18-Tris(Carboxymethyl)-4,5,6,7,8,11,12,22-Octadehydro-4,5,6,9,10,11,21,22-Octahydro-3,5,8,9,13,15,18,19-Octamethyl-3,7,12,17-Corrintetrapropanoic Acid
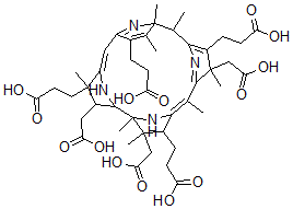
Molecular Structure CAS#: 139663-56-2, (1R-(1alpha,2alpha,3beta,9beta,13alpha,17beta,18alpha,19beta))-2,13,18-Tris(Carboxymethyl)-4,5,6,7,8,11,12,22-Octadehydro-4,5,6,9,10,11,21,22-Octahydro-3,5,8,9,13,15,18,19-Octamethyl-3,7,12,17-Corrintetrapropanoic Acid
Molecular Formula C45H60N4O14
Molecular Weight 880.99
CAS Registry Number 139663-56-2
SMILES C(C1(C)C(=C4N=C1C(=C/2NC(C(C2CCC(O)=O)(C)CC(O)=O)(C5C(C(CCC(O)=O)(\C(=C\C3=NC(C(=C3CCC(O)=O)C)(C4C)C)N5)C)CC(O)=O)C)/C)CCC(O)=O)C(O)=O
InChI 1S/C45H60N4O14/c1-21-37-26(11-14-32(54)55)43(6,20-36(62)63)45(8,49-37)40-27(17-34(58)59)41(4,16-15-33(56)57)29(46-40)18-28-24(9-12-30(50)51)22(2)44(7,48-28)23(3)38-25(10-13-31(52)53)42(5,19-35(60)61)39(21)47-38/h18,23,26-27,40,46,49H,9-17,19-20H2,1-8H3,(H,50,51)(H,52,53)(H,54,55)(H,56,57)(H,58,59)(H,60,61)(H,62,63)/b29-18-,37-21-
InChIKey PSSCODUYIWEFBP-YBZAKIKXSA-N
Properties
Density 1.439g/cm3 (Cal.)
Boiling point 1099.281°C at 760 mmHg (Cal.)
Flash point 618.623°C (Cal.)
Market Analysis Reports
List of Reports Available for (1R-(1alpha,2alpha,3beta,9beta,13alpha,17beta,18alpha,19beta))-2,13,18-Tris(Carboxymethyl)-4,5,6,7,8,11,12,22-Octadehydro-4,5,6,9,10,11,21,22-Octahydro-3,5,8,9,13,15,18,19-Octamethyl-3,7,12,17-Corrintetrapropanoic Acid
Related Products
Hafnium dihydride  phosphino radical  Ruthenium-106  Scandium-46  Cesium134  Strontium85  Cerium-141  2-[2-[(2E,6E)-3-(Hydroxymethyl)-7-Methyl...  hydroxyl cation  Methyl 7-(Hydroxymethyl)-2,4A,5,7alpha-T...  5-Hydroxy-4,7-Dimethoxy-2H-Benzo[g]Isoqu...  Phenatine  Antimony  Uranium-233  Diphenylgermanium Dihydrate