Online Database of Chemicals from Around the World

[1-[[5-(4-氨基-2-氧代嘧啶-1-基)四氢呋喃-2-基]甲氧基-羟基磷酰]氧基-3-棕榈酰氧基丙-2-基](E)-十八碳-9-烯酸酯
[CAS# 139903-71-2]

基本信息
产品名称 [1-[[5-(4-氨基-2-氧代嘧啶-1-基)四氢呋喃-2-基]甲氧基-羟基磷酰]氧基-3-棕榈酰氧基丙-2-基](E)-十八碳-9-烯酸酯
英文名 [1-[[5-(4-Amino-2-Oxopyrimidin-1-Yl)Oxolan-2-Yl]Methoxy-Hydroxyphosphoryl]Oxy-3-Hexadecanoyloxypropan-2-Yl] (E)-Octadec-9-Enoate
别名 [1-[[[5-(4-Amino-2-Oxo-Pyrimidin-1-Yl)Tetrahydrofuran-2-Yl]Methoxy-Hydroxy-Phosphoryl]Oxymethyl]-2-Hexadecanoyloxy-Ethyl] (E)-Octadec-9-Enoate; (E)-Octadec-9-Enoic Acid [1-[[[5-(4-Amino-2-Oxo-1-Pyrimidinyl)-2-Tetrahydrofuranyl]Methoxy-Hydroxyphosphoryl]Oxymethyl]-2-(1-Oxohexadecoxy)Ethyl] Ester; (E)-Octadec-9-Enoic Acid [1-[[[5-(4-Amino-2-Keto-Pyrimidin-1-Yl)Tetrahydrofuran-2-Yl]Methoxy-Hydroxy-Phosphoryl]Oxymethyl]-2-Hexadecanoyloxy-Ethyl] Ester
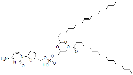
分子结构 CAS 登录号:139903-71-2, [1-[[5-(4-氨基-2-氧代嘧啶-1-基)四氢呋喃-2-基]甲氧基-羟基磷酰]氧基-3-棕榈酰氧基丙-2-基](E)-十八碳-9-烯酸酯
分子式 C46H82N3O10P
分子量 868.14
CAS 登录号 139903-71-2
分子行输入简码 SMILES C(O[P](O)(=O)OCC(COC(=O)CCCCCCCCCCCCCCC)OC(=O)CCCCCCC\C=C\CCCCCCCC)C1OC(CC1)N2C(N=C(C=C2)N)=O
国际化学标识码 InChI 1S/C46H82N3O10P/c1-3-5-7-9-11-13-15-17-18-20-22-24-26-28-30-32-45(51)59-41(37-55-44(50)31-29-27-25-23-21-19-16-14-12-10-8-6-4-2)39-57-60(53,54)56-38-40-33-34-43(58-40)49-36-35-42(47)48-46(49)52/h17-18,35-36,40-41,43H,3-16,19-34,37-39H2,1-2H3,(H,53,54)(H2,47,48,52)/b18-17+
国际化学标识检索码 InChIKey SCRGZYRSXYKUJI-ISLYRVAYSA-N
物理化学性质
密度 1.137g/cm3 (计算值)
沸点 864.441°C at 760 mmHg (计算值)
闪点 476.597°C (计算值)
市场分析报告
请浏览[1-[[5-(4-氨基-2-氧代嘧啶-1-基)四氢呋喃-2-基]甲氧基-羟基磷酰]氧基-3-棕榈酰氧基丙-2-基](E)-十八碳-9-烯酸酯市场分析报告总目录
相关产品
矢车菊素3-(6-(4-香豆酰)-2-(木糖基)-...  二甲氧基二对甲酚  [4-(二甲基氨基甲基)苯基]-二苯基-甲醇  (6R,7R)-3-[[4-[二(2-氯乙基)氨基...  4,8-二甲基双环[3.3.1]壬烷-2,6-二酮  (2S)-2-[[3-氨基-4-(4-叠氮基苯基)...  1-[3-(2-氯乙基)-3-亚硝基脲基]环己烷羧...  4,4'-二(二甲基氨基)硫代对称二苯脲  (2E,4E)-己-2,4-二烯酸铜  N-(2-羟基乙基)-N-[2-[(1-氧代十八烷...  1,3-二甲基-6-(甲基氨基)-5-硝基尿嘧啶  4-苯基-5,5-二乙氧羰基-2-吡咯烷酮  7-乙基-3-(苯基甲基)嘌呤-2,6-二酮  2-(3-吲哚基)乙基苯基甲酮  翅甲藻毒素-2