Online Database of Chemicals from Around the World

Ristocetin B
[CAS# 1405-59-0]

Suppliers
CAS#: 1405-59-0
Product: Ristocetin B
No suppilers available for the product.
Identification
Name Ristocetin B
Synonyms Ristocetin B; Ristomycin A, 2C-O-De(O-Beta-D-Arabinopyranosyl-(1->2)-O-Alpha-D-Mannopyranosyl-(1->2))-
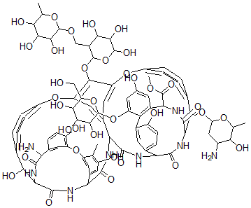
Molecular Structure CAS#: 1405-59-0, Ristocetin B
Molecular Formula C84H92N8O35
Molecular Weight 1773.68
CAS Registry Number 1405-59-0
SMILES N7C9C(NC2C(NC%12C(NC(C(OC1OC(C(C(C1)N)O)C)C%11=CC=C(OC3=CC2=CC(=C3OC4C(C(C(C(O)O4)O)O)COC5C(O)C(C(C(C)O5)O)O)OC6=CC=C(C=C6)C(C(C7=O)NC(C(C8=CC(=C(C=C8)O)OC%10=CC9=CC(=C%10C)O)N)=O)O)C=C%11)C(NC(C%14=C(C%13=CC%12=CC=C%13O)C(=CC(=C%14)O)OC%15OC(C(C(C%15O)O)O)CO)C(OC)=O)=O)=O)=O)=O
InChI 1S/C84H92N8O35/c1-28-46(97)18-35-20-47(28)122-48-19-33(9-16-45(48)96)55(86)74(108)91-60-64(100)31-5-11-38(12-6-31)120-50-21-36-22-51(73(50)126-82-42(65(101)69(105)81(115)127-82)27-117-83-70(106)67(103)63(99)30(3)119-83)121-39-13-7-32(8-14-39)72(125-53-25-43(85)62(98)29(2)118-53)61-79(113)90-59(80(114)116-4)41-23-37(94)24-49(123-84-71(107)68(104)66(102)52(26-93)124-84)54(41)40-17-34(10-15-44(40)95)56(75(109)92-61)87-77(111)58(36)88-76(110)57(35)89-78(60)112/h5-24,29-30,42-43,52-53,55-72,81-84,93-107,115H,25-27,85-86H2,1-4H3,(H,87,111)(H,88,110)(H,89,112)(H,90,113)(H,91,108)(H,92,109)
InChIKey MRJWOHFNPQYUMJ-UHFFFAOYSA-N
Properties
Density 1.73g/cm3 (Cal.)
Market Analysis Reports
List of Reports Available for Ristocetin B
Related Products
N,N,beta-Trimethyl-2-(Methylthio)-10H-Ph...  Carbonylbromobis(Triphenylphosphine)Rhod...  1-(2-O,3-O,5-O-Triacetyl-beta-D-Arabinof...  6-(11-Hydroxydodecyl)-2-(Hydroxymethyl)P...  Metazamide  Stilbamidine Isetionate  Propan-2-Yl Tetradecanoate  4-Decylbenzenesulphonic Acid  (4aS,10bR)-3-Cyclohexyl-2,4,4a,5,6,10b-H...  Polymixin  Vitamin D  Ethyl 4-Isopropylphenylacetate  3-Aminobenzhydrazide  (2R)-2-Acetamido-3-[4-[[2-[2-[2-(Hydroxy...  2-Phenylbenzene-1,4-Diol