| Achemica | 瑞士 | 询价快递 | ||
|---|---|---|---|---|
![]() |
+41 (24) 466-2929 | |||
![]() |
contact@achemica.com | |||
| 化学品生产商(2010 年起) | ||||
| Epsilon Chimie Chemical Manufacturer | 法国 | 询价快递 | ||
|---|---|---|---|---|
![]() |
+33 (2) 9842-4650 | |||
![]() |
pierre.cornec@epsilon-chimie.com | |||
| 化学品生产商 | ||||
| International Laboratory Limited | 美国 | 询价快递 | ||
|---|---|---|---|---|
![]() |
+1 (650) 278-9963 | |||
![]() |
admin@intlab.org | |||
| 化学品生产商(2002 年起) | ||||
| Manchester Organics Ltd. | 英国 | 询价快递 | ||
|---|---|---|---|---|
![]() |
+44 (1928) 710-200 | |||
![]() |
info@manchesterorganics.com | |||
| 化学品生产商 | ||||
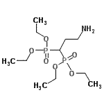
| 产品名称 | 四乙基(3-氨基-1,1-丙烷二基)二(膦酸酯) |
|---|---|
| 英文名 | Tetraethyl (3-Amino-1,1-Propanediyl)Bis(Phosphonate) |
| 别名 | 3,3-bis(diethoxyphosphoryl)propan-1-amine; TETRAETHYL(3-AMINOPROPYLIDENE)BISPHOSPHONATE |
| 分子结构 | ![]() |
| 分子式 | C11H27NO6P2 |
| 分子量 | 331.28 |
| CAS 登录号 | 141473-49-6 |
| 分子行输入简码 SMILES | CCOP(=O)(C(CCN)P(=O)(OCC)OCC)OCC |
| 国际化学标识码 InChI | 1S/C11H27NO6P2/c1-5-15-19(13,16-6-2)11(9-10-12)20(14,17-7-3)18-8-4/h11H,5-10,12H2,1-4H3 |
| 国际化学标识检索码 InChIKey | FPOJOLJEOJMAHY-UHFFFAOYSA-N |
| 密度 | 1.2±0.1g/cm3 (计算值) |
|---|---|
| 沸点 | 424.5±40.0°C at 760 mmHg (计算值) |
| 闪点 | 210.5±27.3°C (计算值) |
| 折射率 | 1.449 (计算值) |
| 市场分析报告 |
| 请浏览四乙基(3-氨基-1,1-丙烷二基)二(膦酸酯)市场分析报告总目录 |