Online Database of Chemicals from Around the World

(E)-4-[2-Hydroxy-2-[3-Hydroxy-4-[(4E,6E,12E,14E)-10-Hydroxy-3,15-Dimethoxy-7,9,11,13-Tetramethyl-16-Oxo-1-Oxacyclohexadeca-4,6,12,14-Tetraen-2-Yl]Pentan-2-Yl]-5,6-Dimethyloxan-4-Yl]Oxy-4-Oxobut-2-Enoic Acid
[CAS# 142386-67-2]

Suppliers
CAS#: 142386-67-2
Product: (E)-4-[2-Hydroxy-2-[3-Hydroxy-4-[(4E,6E,12E,14E)-10-Hydroxy-3,15-Dimethoxy-7,9,11,13-Tetramethyl-16-Oxo-1-Oxacyclohexadeca-4,6,12,14-Tetraen-2-Yl]Pentan-2-Yl]-5,6-Dimethyloxan-4-Yl]Oxy-4-Oxobut-2-Enoic Acid
No suppilers available for the product.
Identification
Name (E)-4-[2-Hydroxy-2-[3-Hydroxy-4-[(4E,6E,12E,14E)-10-Hydroxy-3,15-Dimethoxy-7,9,11,13-Tetramethyl-16-Oxo-1-Oxacyclohexadeca-4,6,12,14-Tetraen-2-Yl]Pentan-2-Yl]-5,6-Dimethyloxan-4-Yl]Oxy-4-Oxobut-2-Enoic Acid
Synonyms (E)-4-[2-Hydroxy-2-[3-Hydroxy-4-[(4Z,6E,12E,14E)-10-Hydroxy-3,15-Dimethoxy-7,9,11,13-Tetramethyl-16-Oxo-1-Oxacyclohexadeca-4,6,12,14-Tetraen-2-Yl]Pentan-2-Yl]-5,6-Dimethyloxan-4-Yl]Oxy-4-Oxobut-2-Enoic Acid; (E)-4-[2-Hydroxy-2-[2-Hydroxy-3-[(4E,6E,12E,14E)-10-Hydroxy-3,15-Dimethoxy-7,9,11,13-Tetramethyl-16-Oxo-1-Oxacyclohexadeca-4,6,12,14-Tetraen-2-Yl]-1-Methyl-Butyl]-5,6-Dimethyl-Tetrahydropyran-4-Yl]Oxy-4-Oxo-But-2-Enoic Acid; (E)-4-[2-Hydroxy-2-[2-Hydroxy-3-[(4Z,6E,12E,14E)-10-Hydroxy-3,15-Dimethoxy-7,9,11,13-Tetramethyl-16-Oxo-1-Oxacyclohexadeca-4,6,12,14-Tetraen-2-Yl]-1-Methyl-Butyl]-5,6-Dimethyl-Tetrahydropyran-4-Yl]Oxy-4-Oxo-But-2-Enoic Acid
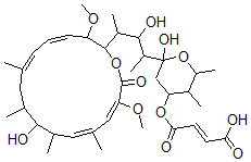
Molecular Structure CAS#: 142386-67-2, (E)-4-[2-Hydroxy-2-[3-Hydroxy-4-[(4E,6E,12E,14E)-10-Hydroxy-3,15-Dimethoxy-7,9,11,13-Tetramethyl-16-Oxo-1-Oxacyclohexadeca-4,6,12,14-Tetraen-2-Yl]Pentan-2-Yl]-5,6-Dimethyloxan-4-Yl]Oxy-4-Oxobut-2-Enoic Acid
Molecular Formula C37H56O12
Molecular Weight 692.84
CAS Registry Number 142386-67-2
SMILES CC(C1(OC(C(C(OC(=O)\C=C\C(O)=O)C1)C)C)O)C(O)C(C2OC(=O)C(=C\C(=C\C(C(O)C(CC(=C/C=C/C2OC)/C)C)C)C)/OC)C
InChI 1S/C37H56O12/c1-20-12-11-13-28(45-9)35(48-36(43)29(46-10)18-21(2)17-23(4)33(41)22(3)16-20)25(6)34(42)26(7)37(44)19-30(24(5)27(8)49-37)47-32(40)15-14-31(38)39/h11-15,17-18,22-28,30,33-35,41-42,44H,16,19H2,1-10H3,(H,38,39)/b13-11+,15-14+,20-12+,21-17+,29-18+
InChIKey CDQPAZYLCCBGFZ-VBJPFCBCSA-N
Market Analysis Reports
List of Reports Available for (E)-4-[2-Hydroxy-2-[3-Hydroxy-4-[(4E,6E,12E,14E)-10-Hydroxy-3,15-Dimethoxy-7,9,11,13-Tetramethyl-16-Oxo-1-Oxacyclohexadeca-4,6,12,14-Tetraen-2-Yl]Pentan-2-Yl]-5,6-Dimethyloxan-4-Yl]Oxy-4-Oxobut-2-Enoic Acid
Related Products
(E)-4-[2,8-Dihydroxy-9-[(4E,6E,12E,14E)-...  (E)-4-[2-[3-Hydroxy-4-[(4E,6E,12E,14E)-1...  4,4'-Biphenylbisdiazonium Fluoroborate  11-(3-Amino-4-Hydroxy-4-Oxobutanoyl)-5-H...  Dichlorobis(Thiourea-S)Zinc  Estra-1,3,5,7,9-Pentaene-3,17beta-Diol  trans-Dinitrobis(Ethylenediamine)Cobalt  16-beta-Methyl-4-Pregnen-3,20-Dione  N,N'-Dibenzylthiourea  (2S)-2-Amino-4-(2,3-Dihydroxypropylamino...  1-Cyclohexenyl Acetate  Acetazolamide Sodium  N-[(3S,4S,4aS,5R)-3-(Dichloromethyl)-1,5...  (2S,4S,5R,6R)-5-Acetamido-2-[(2R,3R,4S,5...  2-[[(1R)-2-(Bis(Carboxymethyl)Amino)Cycl...