Online Database of Chemicals from Around the World

Tigogenin 3-O-beta-D-Glucopyranosyl(1-2)(beta-D-Glucopyranosyl(1-3)(6-O-Acetyl-beta-D-Glucopyranosyl))(1-4)-beta-D-Galactopyranoside
[CAS# 143049-27-8]

Suppliers
CAS#: 143049-27-8
Product: Tigogenin 3-O-beta-D-Glucopyranosyl(1-2)(beta-D-Glucopyranosyl(1-3)(6-O-Acetyl-beta-D-Glucopyranosyl))(1-4)-beta-D-Galactopyranoside
No suppilers available for the product.
Identification
Name Tigogenin 3-O-beta-D-Glucopyranosyl(1-2)(beta-D-Glucopyranosyl(1-3)(6-O-Acetyl-beta-D-Glucopyranosyl))(1-4)-beta-D-Galactopyranoside
Synonyms Beta-D-Galactopyranoside, (3Beta,5Alpha,25R)-Spirostan-3-Yl O-Beta-D-Glucopyranosyl-(1-2)-O-(Beta-D-Glucopyranosyl-(1-3))-O-6-O-Acetyl-Beta-D-Glucopyranosyl-(1-4)-
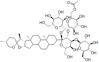
Molecular Structure CAS#: 143049-27-8, Tigogenin 3-O-beta-D-Glucopyranosyl(1-2)(beta-D-Glucopyranosyl(1-3)(6-O-Acetyl-beta-D-Glucopyranosyl))(1-4)-beta-D-Galactopyranoside
Molecular Formula C53H86O24
Molecular Weight 1107.25
CAS Registry Number 143049-27-8
SMILES [C@@H]23[C@@H](OC1(OC[C@@H](CC1)C)[C@H]2C)CC4[C@@]3(CCC5C4CCC6[C@@]5(CCC(C6)[C@]8(O[C@H]([C@H](O)[C@H](O[C@@H]7O[C@@H]([C@@H](O)[C@H](O)[C@H]7O)CO)[C@H]8O[C@@H]9O[C@@H]([C@@H](O)[C@H](O)[C@H]9O)CO)CO)O[C@@H]%10O[C@@H]([C@@H](O)[C@H](O)[C@H]%10O)COC(=O)C)C)C
InChI 1S/C53H86O24/c1-21-8-13-52(69-19-21)22(2)34-29(75-52)15-28-26-7-6-24-14-25(9-11-50(24,4)27(26)10-12-51(28,34)5)53(77-49-44(67)41(64)37(60)33(72-49)20-68-23(3)57)46(74-48-43(66)40(63)36(59)31(17-55)71-48)45(38(61)32(18-56)76-53)73-47-42(65)39(62)35(58)30(16-54)70-47/h21-22,24-49,54-56,58-67H,6-20H2,1-5H3/t21-,22+,24?,25?,26?,27?,28?,29+,30-,31-,32+,33-,34+,35-,36-,37-,38+,39+,40+,41+,42-,43-,44-,45+,46-,47+,48+,49+,50+,51+,52?,53+/m1/s1
InChIKey DYIQIQXTTUXBQD-DZYXBILISA-N
Properties
Density 1.503g/cm3 (Cal.)
Market Analysis Reports
List of Reports Available for Tigogenin 3-O-beta-D-Glucopyranosyl(1-2)(beta-D-Glucopyranosyl(1-3)(6-O-Acetyl-beta-D-Glucopyranosyl))(1-4)-beta-D-Galactopyranoside
Related Products
5-Allyl-5-(beta-Hydroxypropyl)-N-Phenylb...  alpha-Allyl-alpha-Allophanyl-gamma-Butyr...  1,3-Dimethyl-5-nitro-barbituric acid  [(2S)-2,3-Di(Tricosa-10,12-Diynoxy)Propy...  Phenylmethyl 4-[(2Z)-2-(1-Butyl-5-Cyano-...  N-[4-(4-Ethylpiperazin-1-Yl)Phenyl]Acrid...  Ursa-12-ene-28-oic acid 3-propanedioic a...  2-Amino-2-Deoxyglucitol  2-Amino-2-Deoxygalacturonic Acid  3-Phosphono-2-Imino-1-Methyl-4-Oxoimidaz...  Calcium Bichromate  Ammonium [R-(R*,R*)]-Tartrate  1-[(5-Methyl-1H-Imidazol-4-Yl)Methyl]-3-...  N,N-Diethyl-2-(Phenylamino)Acetamide  (3aS-(3aalpha,4alpha,10aR*))-2,6-diamino...