Online Database of Chemicals from Around the World

Pneumocandin C(0)
[CAS# 144074-96-4]

Suppliers
Molcan Corporation USA Inquire  
+1 (905) 731-5537
info@molcan.com
Chemical manufacturer
Identification
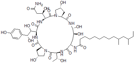
Name Pneumocandin C(0)
Synonyms Aids027828; Pneumocandin Co; Pneumocandin C(0)
Molecular Structure CAS#: 144074-96-4, Pneumocandin C(0)
Molecular Formula C50H80N8O17
Molecular Weight 1065.23
CAS Registry Number 144074-96-4
SMILES [C@H]13N(C[C@H](O)C1)C(=O)[C@@H](NC(=O)C(NC(=O)CCCCCCCCC(CC(CC)C)C)C[C@H](O)[C@@H](O)NC(=O)[C@H]2N(C[C@H](O)C2)C(=O)[C@@H](NC(=O)[C@@H](NC3=O)C(O)[C@H](O)C4=CC=C(O)C=C4)[C@H](O)CC(=O)N)[C@H](O)C
InChI 1S/C50H80N8O17/c1-5-25(2)18-26(3)12-10-8-6-7-9-11-13-38(66)52-32-21-36(64)47(72)56-46(71)34-20-31(62)24-58(34)50(75)40(35(63)22-37(51)65)54-48(73)41(43(68)42(67)28-14-16-29(60)17-15-28)55-45(70)33-19-30(61)23-57(33)49(74)39(27(4)59)53-44(32)69/h14-17,25-27,30-36,39-43,47,59-64,67-68,72H,5-13,18-24H2,1-4H3,(H2,51,65)(H,52,66)(H,53,69)(H,54,73)(H,55,70)(H,56,71)/t25?,26?,27-,30-,31-,32?,33+,34+,35-,36+,39+,40+,41+,42-,43?,47-/m1/s1
InChIKey IPMHTGKXJQHTQV-YWVCOZMLSA-N
Properties
Density 1.411g/cm3 (Cal.)
Boiling point 1442.936°C at 760 mmHg (Cal.)
Flash point 826.458°C (Cal.)
Market Analysis Reports
List of Reports Available for Pneumocandin C(0)
Related Products
3-O-beta-D-Glucopyranosyl(1-3)(beta-D-gl...  1-(2-(Ethylphenylamino)ethyl)pyridinium ...  1-[2-[[4-[(2,6-Dichloro-4-Nitrophenyl)Az...  1-[2-[Ethyl[4-[(5-Nitrothiazol-2-Yl)Azo]...  7-[[4-Chloro-6-[(3-Sulphophenyl)Amino]-1...  7-[[4-Chloro-6-[(4-Sulphophenyl)Amino]-1...  2-(8-Heptadecenyl)-4-Methyl-2-Oxazoline-...  [(2R,3S,4R,5R)-5-(2-Amino-6-Oxo-3H-Purin...  2-[3-[2-[3-(2-Dimethylaminoethylsulfanyl...  Pneumocandin D(0)  Bis(2-chloroethyl)ammonium hexachlorosta...  [(1,1-dioxo-3-thiolanyl)amino]methanedit...  Tetralithium Naphthalene-1,4,5,8-Tetraca...  2-[(4-Methoxyphenyl)Methyl]-3,4-Dimethyl...  3,4-Dimethyl-2-(Thiophen-2-Ylmethyl)Pyra...